Fig. 2

Download original image
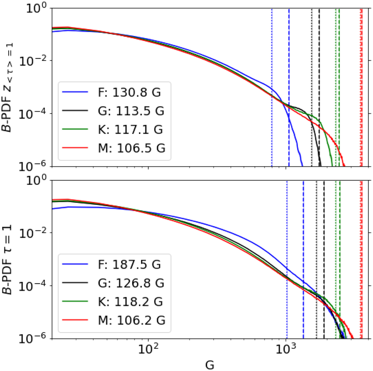
PDF of the strength of magnetic field B for the SSD F (blue), G (black), K (green) and M star (red). Top: PDF of B calculated for the geometric surface z〈τ〉 = 1 corresponding to the height at which 〈τ〉 = 1. Bottom: same plot as the top, but for the iso τ = 1 surface. The vertical lines correspond to the pressure equipartition field (dotted) and
(dashed) for each case (see Sect. 4.1 for details of the description of Beqp,tot). The labels contain the mean value for each case in gauss.
Current usage metrics show cumulative count of Article Views (full-text article views including HTML views, PDF and ePub downloads, according to the available data) and Abstracts Views on Vision4Press platform.
Data correspond to usage on the plateform after 2015. The current usage metrics is available 48-96 hours after online publication and is updated daily on week days.
Initial download of the metrics may take a while.