Fig. 6

Download original image
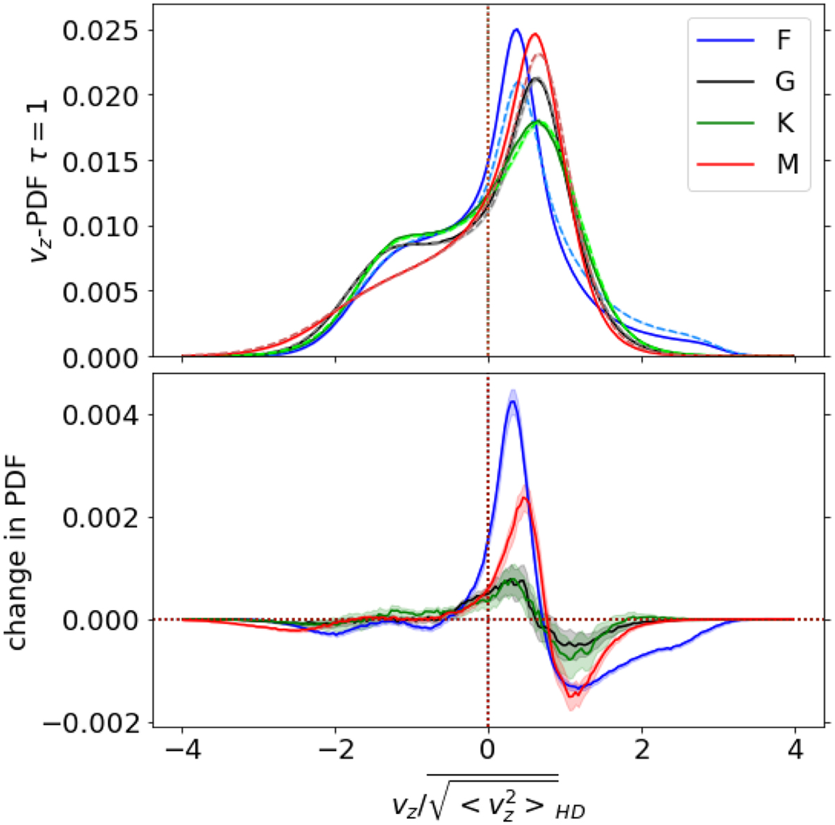
Vertical velocity υ𝓏 at the iso τ = 1 surface normalized by the r.m.s vertical velocity in the HD case (as noted in Table 3). Top: PDF of
for the SSD (solid) as well as HD (dashed) cases. Bottom: Difference between the PDF for SSD and HD cases υ𝓏,SSD − υ𝓏,HD. The positive (negative) values on the horizontal axis correspond to upflows (downflows).
Current usage metrics show cumulative count of Article Views (full-text article views including HTML views, PDF and ePub downloads, according to the available data) and Abstracts Views on Vision4Press platform.
Data correspond to usage on the plateform after 2015. The current usage metrics is available 48-96 hours after online publication and is updated daily on week days.
Initial download of the metrics may take a while.