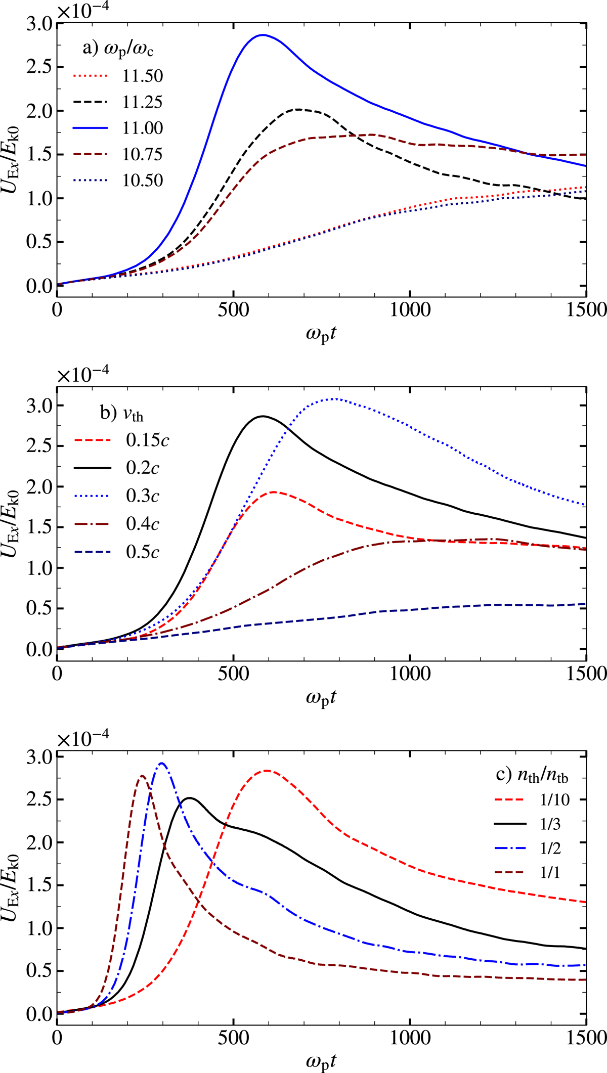
Fig. 2.

Download original image
Evolution of the electrostatic energy of the x field component UEx scaled to the initial kinetic energy Ek0. Panel a: evolution of UEx/Ek0, where Ek0 is the total initial kinetic energy for different values of the ratio between plasma and cyclotron frequency ωp/ωc. Panel b: evolution of UEx/Ek0 in relation to the increasing value of the characteristic thermal velocity of the hot plasma component vth. Panel c: evolution of UEx/Ek0 in relation to the increasing value of the ratio between the hot and background plasma density nth/ntb.
Current usage metrics show cumulative count of Article Views (full-text article views including HTML views, PDF and ePub downloads, according to the available data) and Abstracts Views on Vision4Press platform.
Data correspond to usage on the plateform after 2015. The current usage metrics is available 48-96 hours after online publication and is updated daily on week days.
Initial download of the metrics may take a while.