Open Access
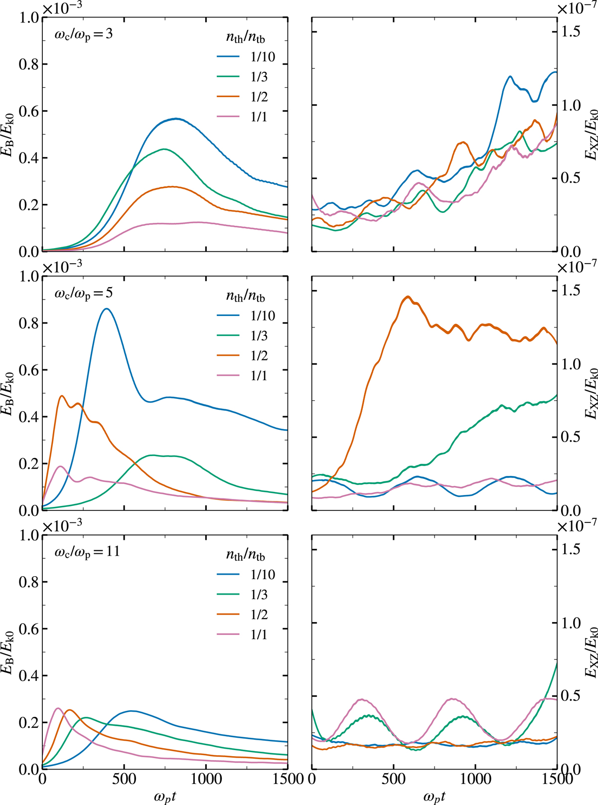
Fig. 7.

Download original image
Temporal evolution of energy scaled to the initial kinetic energy of the electrostatic Bernstein waves (left column) and the electromagnetic XZ mode (right column) with frequency ratio ωp/ωc = 3, 5, and 11 (rows) for different values of the hot/background particle density ratio nth/ntb.
Current usage metrics show cumulative count of Article Views (full-text article views including HTML views, PDF and ePub downloads, according to the available data) and Abstracts Views on Vision4Press platform.
Data correspond to usage on the plateform after 2015. The current usage metrics is available 48-96 hours after online publication and is updated daily on week days.
Initial download of the metrics may take a while.