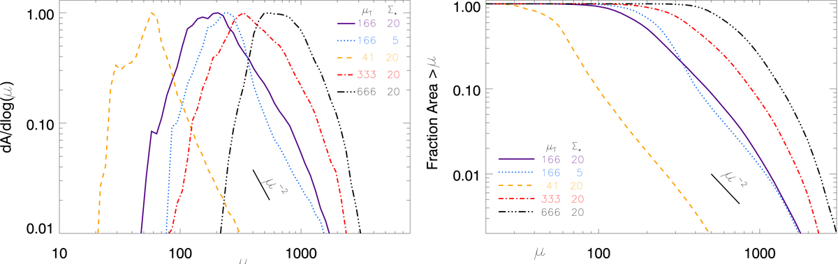
Fig. 10.

Download original image
Microlensing probability of magnification for the Spock galaxy. Left: relative probability of magnification in different scenarios where the macromodel tangential magnification (μT) or the surface mass density of microlenses (Σ* expressed in units of M⊙ pc−2) is varied. In all cases, the radial component of the macromodel magnification is fixed to μR = 1.63. Different values of the tangential magnification can be interpreted as different distances to the critical curve. At the lowest magnification values considered, the probability of large magnification follows the expected μ−2 law. For larger values of μT, the probability resembles a log-normal. Right: fraction of area in the source plane with magnification factors above a certain value. The models are the same as in the left panel.
Current usage metrics show cumulative count of Article Views (full-text article views including HTML views, PDF and ePub downloads, according to the available data) and Abstracts Views on Vision4Press platform.
Data correspond to usage on the plateform after 2015. The current usage metrics is available 48-96 hours after online publication and is updated daily on week days.
Initial download of the metrics may take a while.