Fig. 2

Download original image
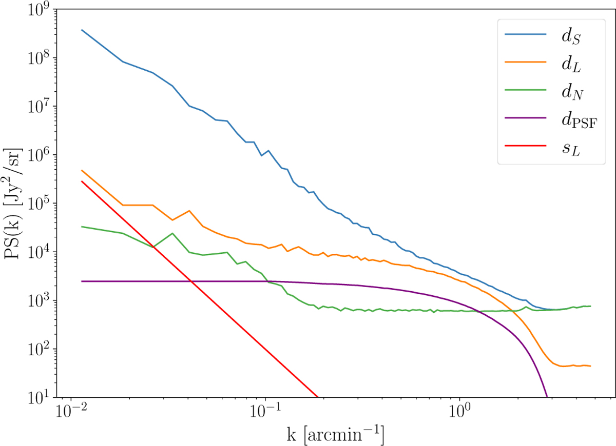
Power spectra of Herschel SPIRE maps. The power spectra of the Spider map (dS) and data noise (dN) are compared to those of the LH field (dL) with the dust contribution, sL, as estimated by Viero et al. (2013). The spectrum of an observation of Neptune (dPSF), plotted with an arbitrary normalization, indicates the beam attenuation at high k. The wavenumber in abscissa is k = 1/θ. These spectra show that the CIB and noise components dominate the dust signal at the smallest scales in the dS map.
Current usage metrics show cumulative count of Article Views (full-text article views including HTML views, PDF and ePub downloads, according to the available data) and Abstracts Views on Vision4Press platform.
Data correspond to usage on the plateform after 2015. The current usage metrics is available 48-96 hours after online publication and is updated daily on week days.
Initial download of the metrics may take a while.