Fig. 13

Download original image
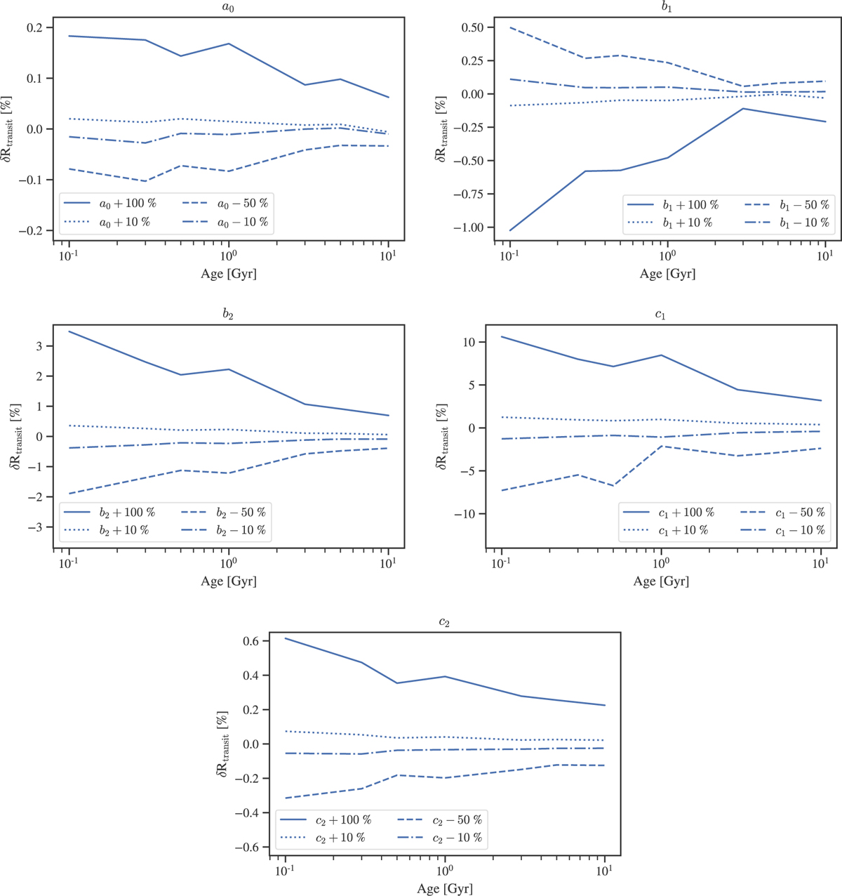
Sensitivity analysis of the age-luminosity relation by Mordasini (2020). Each variable in the fit of Eq. (20) was varied by +100% (solid line), +10% (dotted), −10% (dot dashed) and −50% (dashed). For each case, the transit radius of a 10 mE exoplanet made out of 22 wt.% Fe (core), 38 wt.% MgSiO3 (mantle), 10 wt.% (H2O) and 40 wt.% (H/He) was calculated. The boundary condition was set to be Teq = 300 K and Pout = 1 Pa. In each panel the relative difference to the transit radius calculated with the unchanged Eq. (20) is shown.
Current usage metrics show cumulative count of Article Views (full-text article views including HTML views, PDF and ePub downloads, according to the available data) and Abstracts Views on Vision4Press platform.
Data correspond to usage on the plateform after 2015. The current usage metrics is available 48-96 hours after online publication and is updated daily on week days.
Initial download of the metrics may take a while.