Fig. 8

Download original image
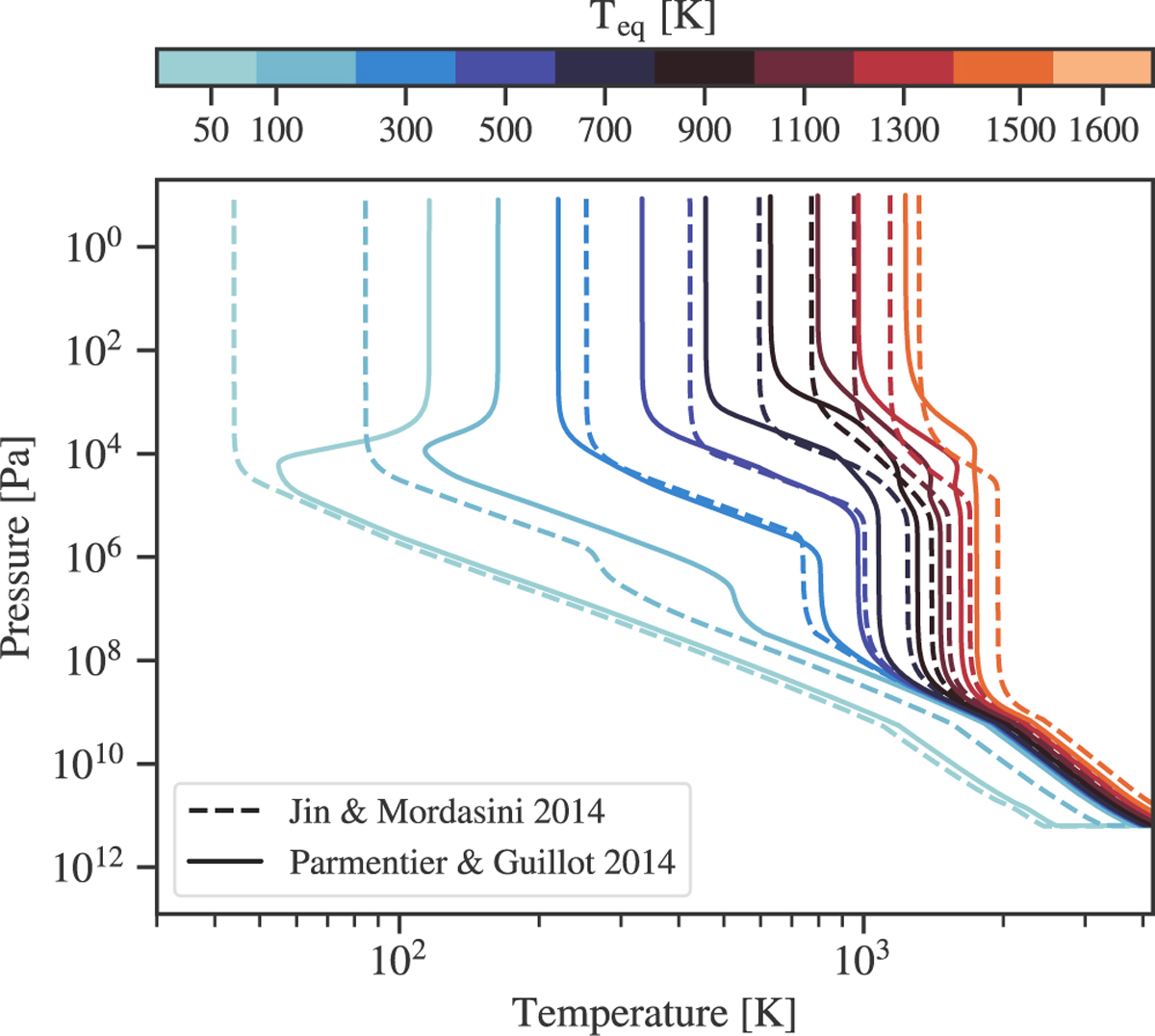
Thermal structure of the volatile layer of a 5 mE exoplanet with 1 wt% of H/He, for various equilibrium temperatures. The coldest equilibrium temperature Teq was chosen to be 50 K, then from Teq = 100 K a profile was calculated every 200 K until Teq = 1500 K. Solid lines: the structure calculated using model D by Parmentier & Guillot (2014). Dashed lines: the atmosphere structure calculated using the model of Jin et al. (2014), which is also used in D17.
Current usage metrics show cumulative count of Article Views (full-text article views including HTML views, PDF and ePub downloads, according to the available data) and Abstracts Views on Vision4Press platform.
Data correspond to usage on the plateform after 2015. The current usage metrics is available 48-96 hours after online publication and is updated daily on week days.
Initial download of the metrics may take a while.