Fig. 9

Download original image
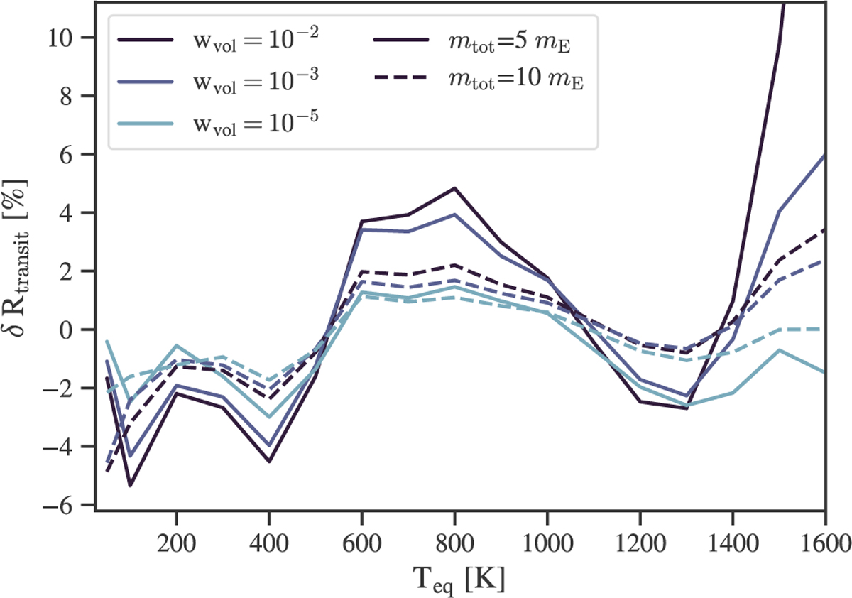
Relative difference in transit radius between the model of Jin et al. (2014) and model D of Parmentier & Guillot (2014) used in BICEPS, as a function of planetary equilibrium temperature. The relative difference was calculated as in Eq. (50) for three different planetary volatile mass fractions of 10−2 (dark blue), 10−3 (blue) and 10−5 (light blue) and two exoplanet masses: 5 mE (solid) and 10 mE (dashed).
Current usage metrics show cumulative count of Article Views (full-text article views including HTML views, PDF and ePub downloads, according to the available data) and Abstracts Views on Vision4Press platform.
Data correspond to usage on the plateform after 2015. The current usage metrics is available 48-96 hours after online publication and is updated daily on week days.
Initial download of the metrics may take a while.