Open Access
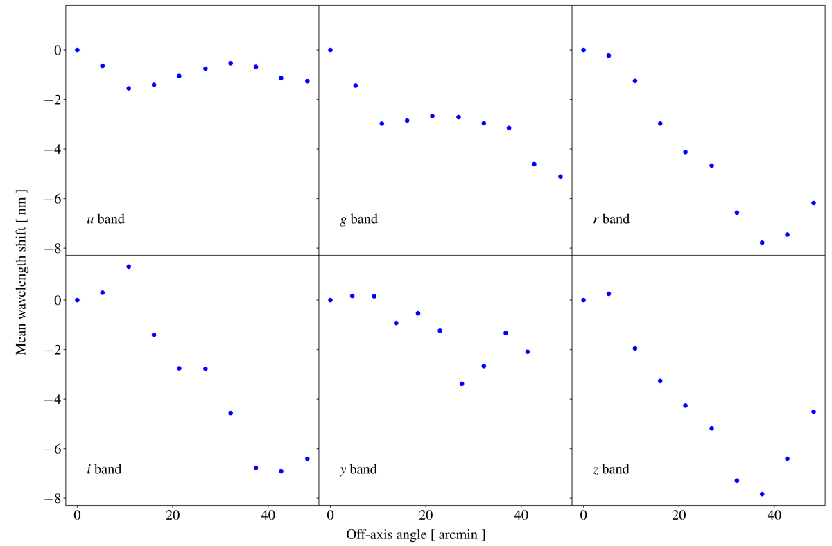
Fig. 9.

Download original image
Mean wavelength shifts of the six MegaCam transmissions as a function of the off-axis angle compared to the on-axis transmissions. The y transmission has been measured at slightly different off-axis distances from the other transmissions.
Current usage metrics show cumulative count of Article Views (full-text article views including HTML views, PDF and ePub downloads, according to the available data) and Abstracts Views on Vision4Press platform.
Data correspond to usage on the plateform after 2015. The current usage metrics is available 48-96 hours after online publication and is updated daily on week days.
Initial download of the metrics may take a while.