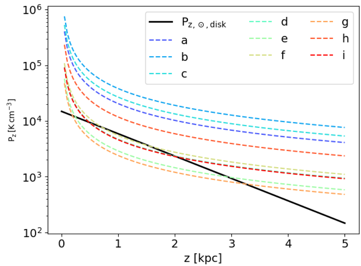
Fig. 10.

Download original image
Vertical pressure profile Pz, ⊙, disk computed at the Sun position. The dashed lines show the pressure measurements of HVCs available in the literature: from Wakker & Schwarz (1991) MI.1 (a, [l, b] = [165, 70] deg), AIV.1 and AIV.2 (b and c, respectively; [l, b] = [153, 40] deg) and from Fox et al. (2005) along the line of sight of HE 0226−4110 ([l, b] = [354, −66] deg) HVC.1 (d), HVC.2 (e), HVC.3 (f), HVC.4 (g) and along the line of sight of PG 0953+414 ([l, b] = [180, +52] deg) HVC.1 (h), and HVC.2 (i). The pressure of the HVCs is degenerate with distance, following ∝z−1.
Current usage metrics show cumulative count of Article Views (full-text article views including HTML views, PDF and ePub downloads, according to the available data) and Abstracts Views on Vision4Press platform.
Data correspond to usage on the plateform after 2015. The current usage metrics is available 48-96 hours after online publication and is updated daily on week days.
Initial download of the metrics may take a while.