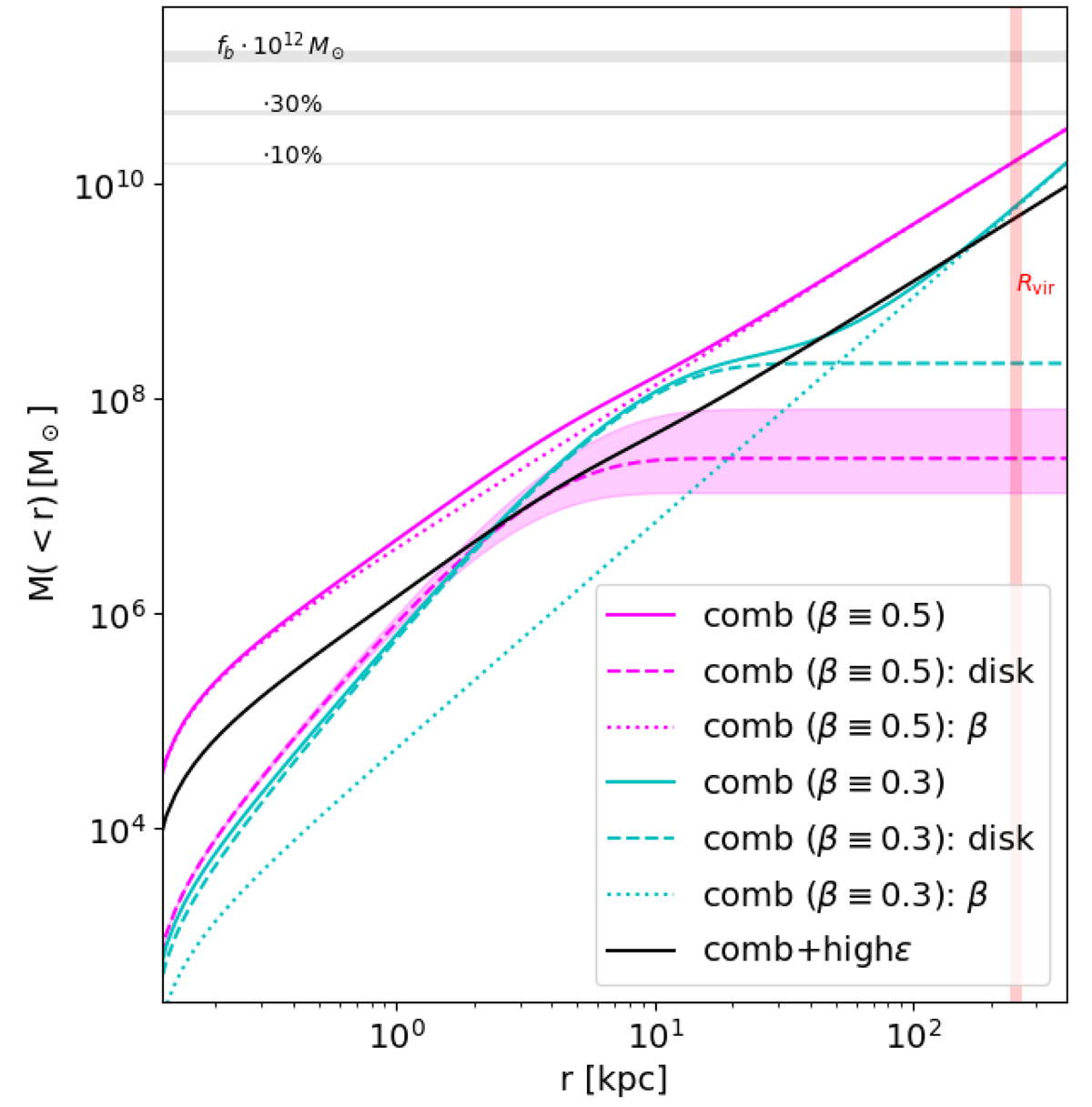
Fig. 7.

Download original image
Cumulative mass of the hot gas as a function of the distance from the Galactic center r. For the combined (β ≡ 0.5) model, the solid and dashed lines respectively show the spherical and disk-like components. The horizontal gray lines show 10%, 30%, and 100% of fb × 1012 M⊙, where fb ≡ Σb/Σm = 0.071 is the cosmic baryon fraction.
Current usage metrics show cumulative count of Article Views (full-text article views including HTML views, PDF and ePub downloads, according to the available data) and Abstracts Views on Vision4Press platform.
Data correspond to usage on the plateform after 2015. The current usage metrics is available 48-96 hours after online publication and is updated daily on week days.
Initial download of the metrics may take a while.