Fig. 1.

Download original image
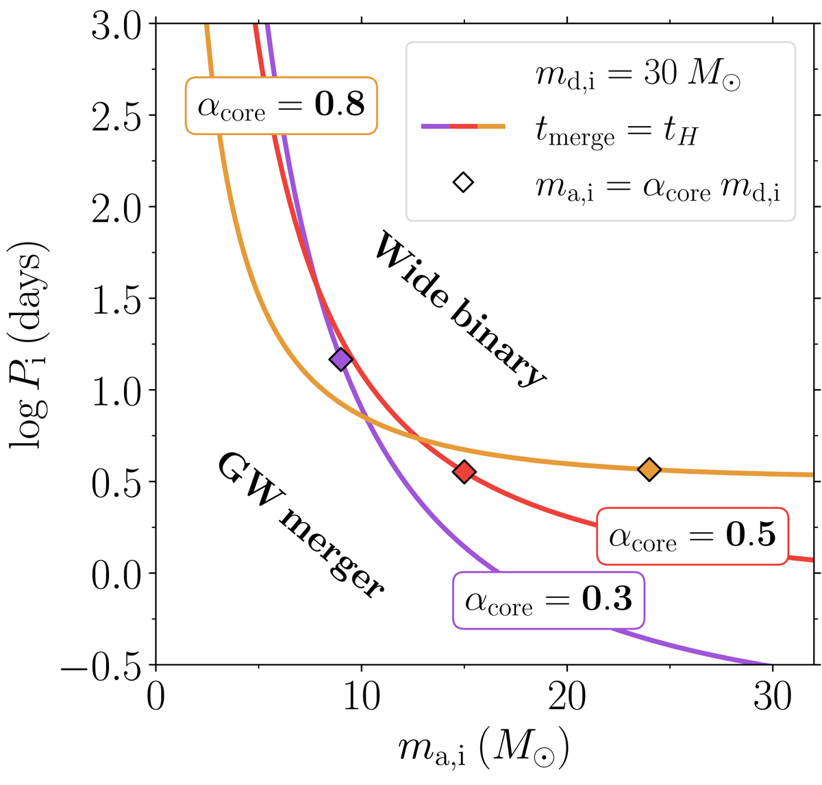
Locus (see Eq. (8)) for the formation of a GW source through stable MT with a 30 M⊙ donor as a function of the CO accretor mass, ma, i, and orbital period, Pi. The solid curves represent the upper bounds on initial periods log Pi, to achieve a delay time of tmerge = tH; different stripping factors, αcore, are labeled along the corresponding curves. Colored diamonds correspond to the point, along their respective curves, at which the MT episode is expected to invert the mass ratio.
Current usage metrics show cumulative count of Article Views (full-text article views including HTML views, PDF and ePub downloads, according to the available data) and Abstracts Views on Vision4Press platform.
Data correspond to usage on the plateform after 2015. The current usage metrics is available 48-96 hours after online publication and is updated daily on week days.
Initial download of the metrics may take a while.