Open Access
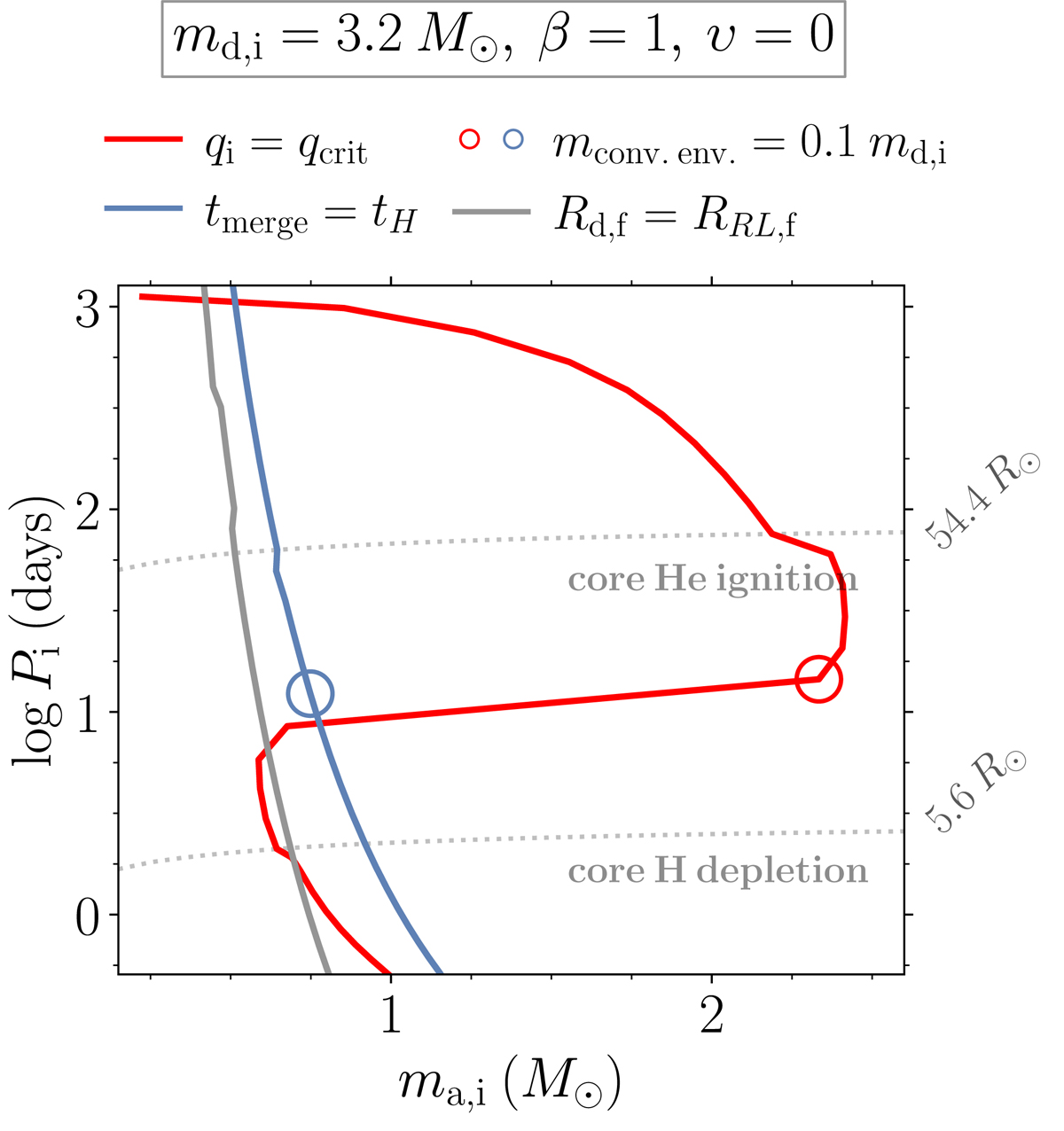
Fig. 10.

Download original image
Boundaries of unstable MT (red line) and the formation of GW sources (blue line) for a 3.2 M⊙ donor orbiting a CO of mass ma, i. Analogous symbols and notation to Fig. 5 are employed for the purely isotropic re-emission channel, β = 1.
Current usage metrics show cumulative count of Article Views (full-text article views including HTML views, PDF and ePub downloads, according to the available data) and Abstracts Views on Vision4Press platform.
Data correspond to usage on the plateform after 2015. The current usage metrics is available 48-96 hours after online publication and is updated daily on week days.
Initial download of the metrics may take a while.