Fig. 5.

Download original image
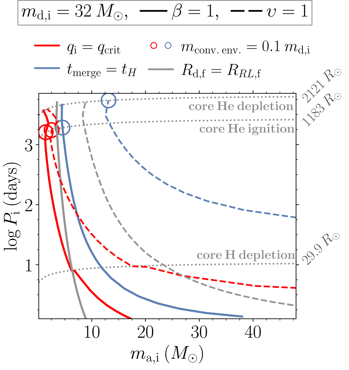
Boundaries for unstable MT (red) and the formation of GW sources (blue) for a 32 M⊙ donor orbiting a CO of mass ma, i. The area below the gray line excludes systems for which the final orbital separation implies Rd, f < RRL, f. Results are shown for full isotropic re-emission (solid) and assuming all matter is ejected from L2 (dashed line). Different stages of evolution are illustrated by contours of constant Roche lobe radius (dotted gray line). Empty circles mark the formation of a convective envelope containing 10% of the donor’s mass.
Current usage metrics show cumulative count of Article Views (full-text article views including HTML views, PDF and ePub downloads, according to the available data) and Abstracts Views on Vision4Press platform.
Data correspond to usage on the plateform after 2015. The current usage metrics is available 48-96 hours after online publication and is updated daily on week days.
Initial download of the metrics may take a while.