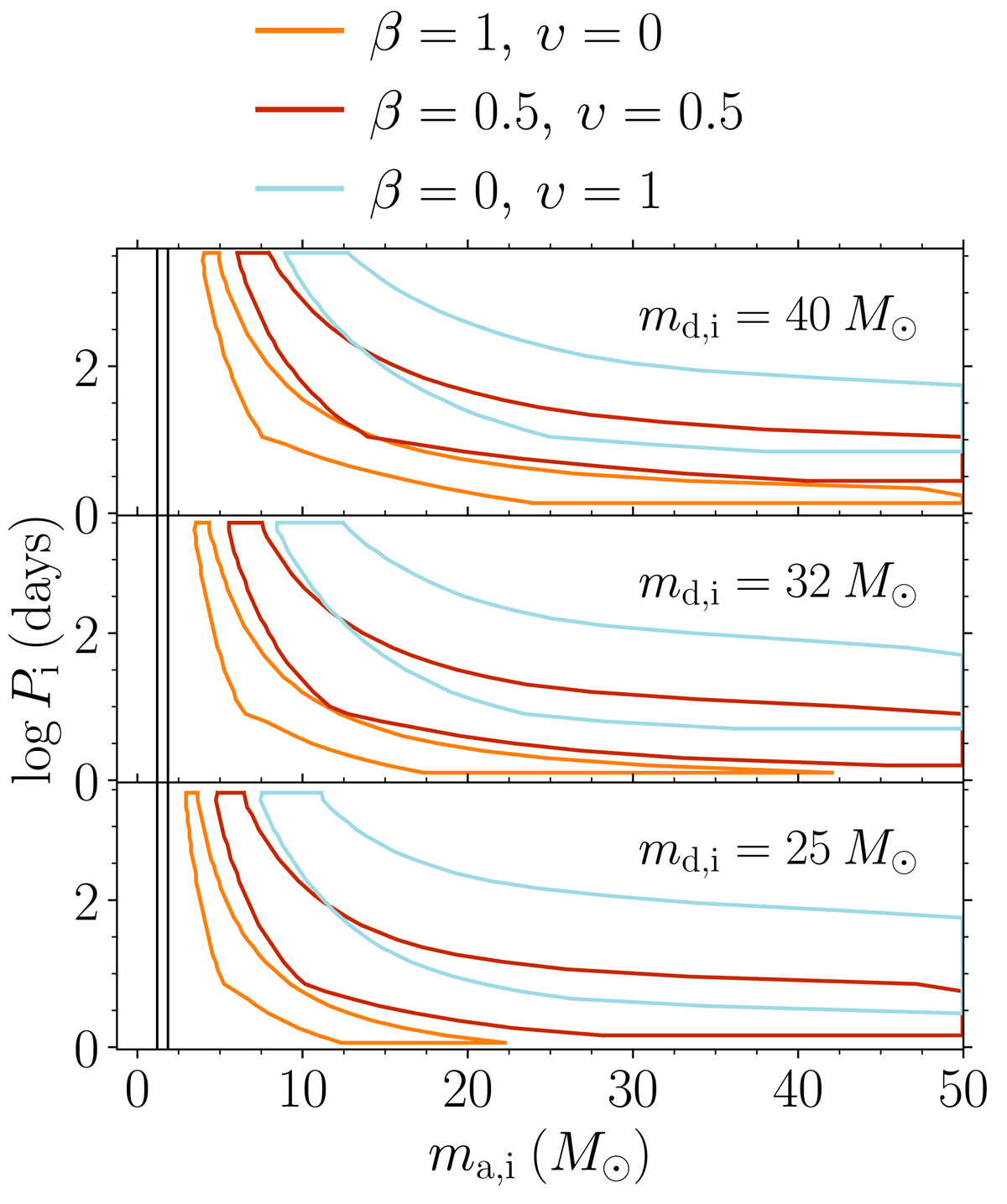
Fig. 6.

Download original image
Locus for the formation of a GW source through stable MT with 40 M⊙, 32 M⊙, 25 M⊙ donors, i.e. BH progenitors, as a function of the CO accretor mass., ma, i, and the orbital period, Pi. Different colors mark the favorable strips for merging double COs via purely isotropic re-emission (β = 1) and mass outflow from L2 with variable efficiencies υ > 0, keeping β + υ = 1. Solid black lines mark the range of known NS masses from binary systems (Tauris et al. 2017).
Current usage metrics show cumulative count of Article Views (full-text article views including HTML views, PDF and ePub downloads, according to the available data) and Abstracts Views on Vision4Press platform.
Data correspond to usage on the plateform after 2015. The current usage metrics is available 48-96 hours after online publication and is updated daily on week days.
Initial download of the metrics may take a while.