Open Access
Fig. A.2

Download original image
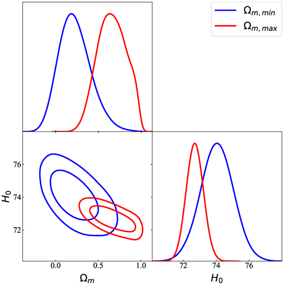
Confidence contours (1σ and 2σ) and marginalized likelihood distributions for parameters space (Ωm and H0) in the spatially flat ΛCDM model from SNe la subsamples, which corresponds to Ωmmin and Ωm,max. The best fits are and H0
and
and H0 = 72.70
.
Current usage metrics show cumulative count of Article Views (full-text article views including HTML views, PDF and ePub downloads, according to the available data) and Abstracts Views on Vision4Press platform.
Data correspond to usage on the plateform after 2015. The current usage metrics is available 48-96 hours after online publication and is updated daily on week days.
Initial download of the metrics may take a while.