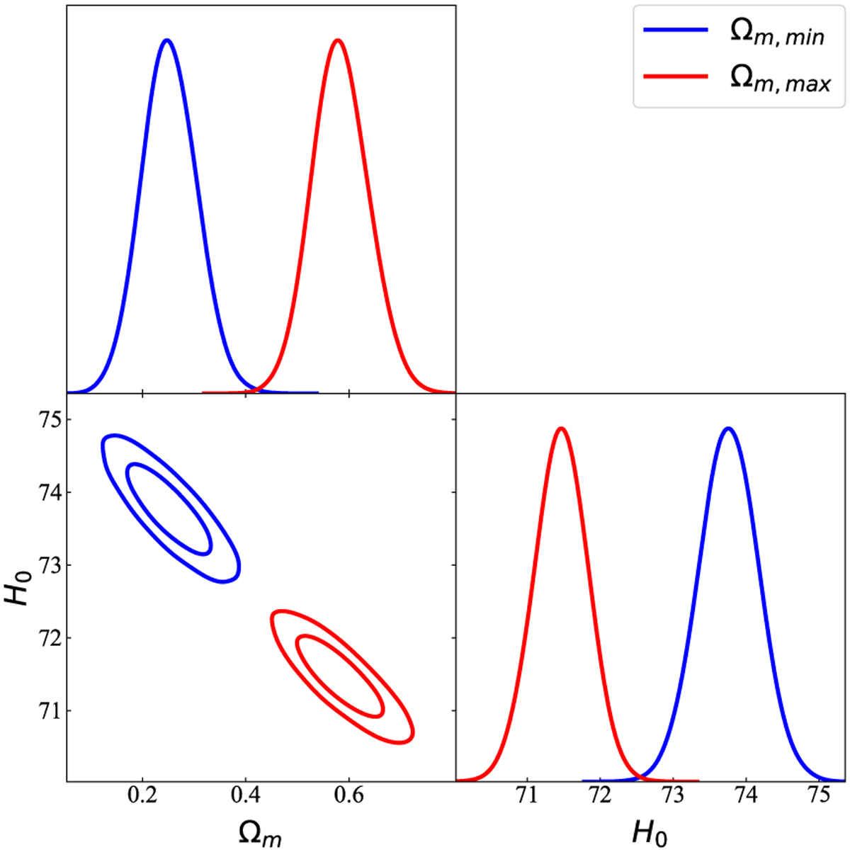
Fig. 8

Download original image
Confidence contours (1σ and 2σ) and marginalized likelihood distributions for the parameters space (Ωm and H0) in the spatially flat ΛCDM model from the SNe Ia subsamples, which corresponds to Ωm,min (blue line) and Ωm,max (red line). The best fitting results of preferred direction are and
Mpc−1 (blue line). The best fitting results of opposite direction are
and
km s−1 Mpc−1 (red line).
Current usage metrics show cumulative count of Article Views (full-text article views including HTML views, PDF and ePub downloads, according to the available data) and Abstracts Views on Vision4Press platform.
Data correspond to usage on the plateform after 2015. The current usage metrics is available 48-96 hours after online publication and is updated daily on week days.
Initial download of the metrics may take a while.