Fig. B.2.

Download original image
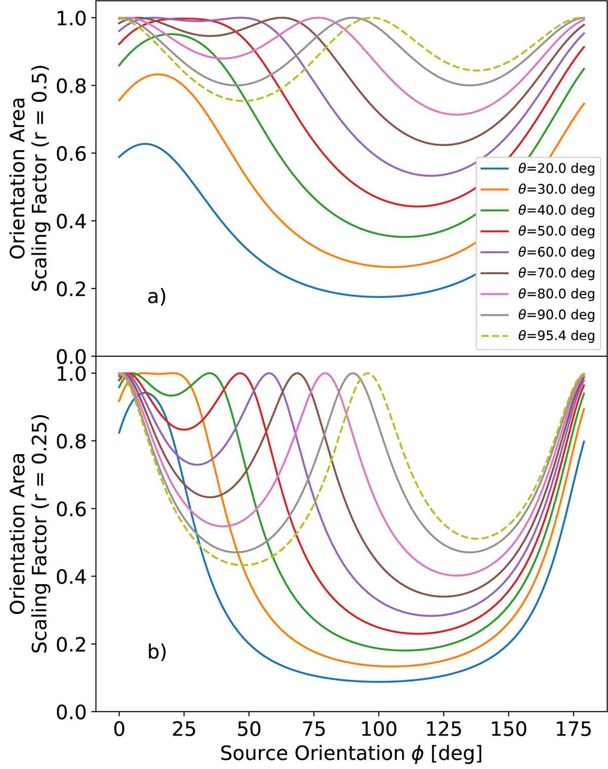
Area scaling factor (Equation B.5) as a function of source orientation, ϕ, and observer separation angle, θ, for two source semi-axis ratios, ρ = 0.5 (a) and ρ = 0.25 (b). The closer ρ is to 1 and the closer θ is to 90° the smaller the scaling factor, i.e. the closer the derived area is to the source area. The dashed green-yellow curves at 95.4° represent the separation angle of STIX and XRT relative to the flare X-ray source of SOL2021-05-07T18:43 M3.9.
Current usage metrics show cumulative count of Article Views (full-text article views including HTML views, PDF and ePub downloads, according to the available data) and Abstracts Views on Vision4Press platform.
Data correspond to usage on the plateform after 2015. The current usage metrics is available 48-96 hours after online publication and is updated daily on week days.
Initial download of the metrics may take a while.