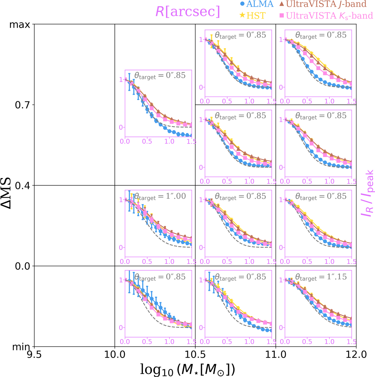
Fig. 16

Download original image
Normalized radial light profile of stacked ALMA (blue circles), HST (yellow stars), UltraVISTA J-band (brown triangles), and UltraVISTA Ks-band (pink squares) images in different M★ −ΔMS bins. All stacked images are matched to the same PSF, i.e., θtarget (gray dashed line). The maximum value of ΔMS for the mid-low, mid-high, and high stellar mass bins are 0.9, 1.0, and 1.1; and the minimum value for the mid-low, mid-high, and high stellar mass bins are −0.7, −0.7, and −0.6, respectively. At the lowest stellar mass, we do not present radial light profiles of the stacked galaxies as they are either unresolved or undetected in our ALMA stacked images.
Current usage metrics show cumulative count of Article Views (full-text article views including HTML views, PDF and ePub downloads, according to the available data) and Abstracts Views on Vision4Press platform.
Data correspond to usage on the plateform after 2015. The current usage metrics is available 48-96 hours after online publication and is updated daily on week days.
Initial download of the metrics may take a while.