Fig. 14

Download original image
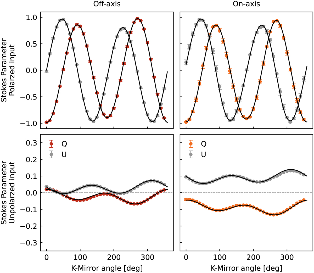
Measured polarization with GRAVITY in the different observing modes. The left column shows the measurement in the off-axis mode, and the right column in the on-axis mode. In the top row, the linear polarization filter is used for the input light source; in the bottom, it is not. In all plots, the Stokes Q data points are shown in red and orange and the Stokes U in gray. The data are the average over all four GRAVITY beams. The results from the fitted model are shown in black lines.
Current usage metrics show cumulative count of Article Views (full-text article views including HTML views, PDF and ePub downloads, according to the available data) and Abstracts Views on Vision4Press platform.
Data correspond to usage on the plateform after 2015. The current usage metrics is available 48-96 hours after online publication and is updated daily on week days.
Initial download of the metrics may take a while.