Fig. 1

Download original image
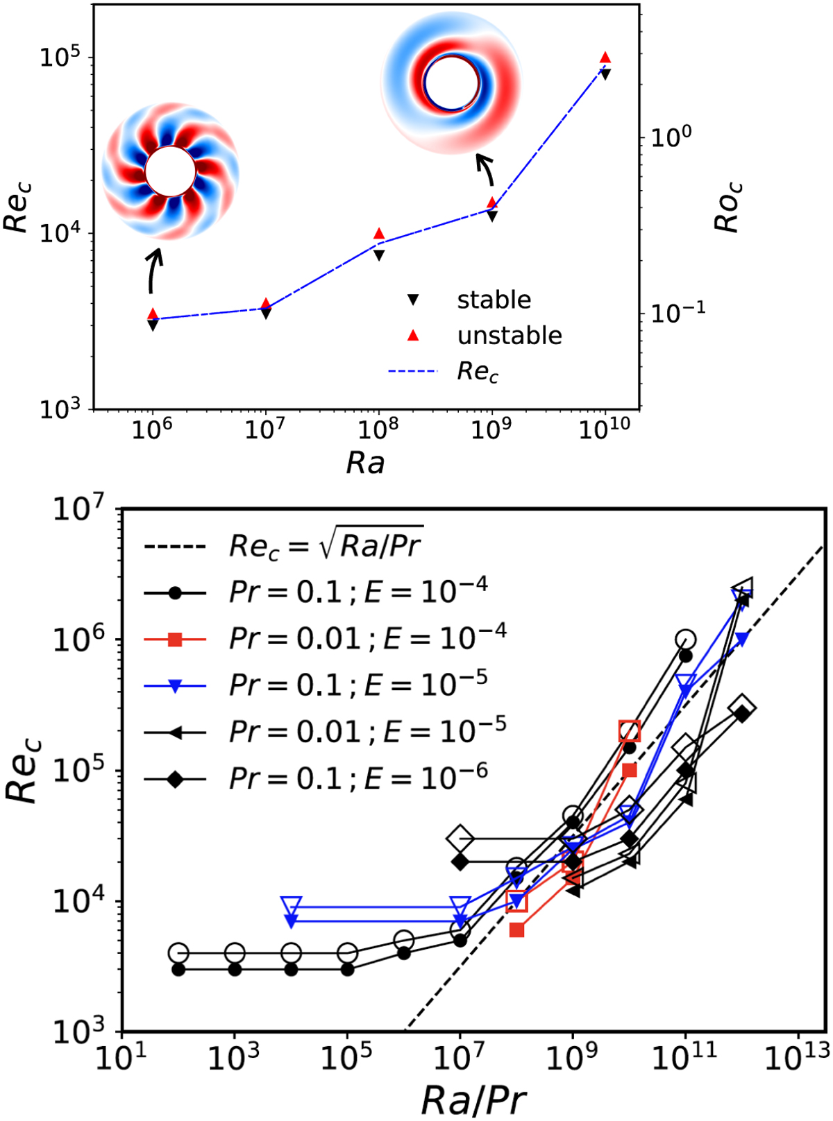
Stratification influence on the onset of shear instability in a spherical shell. Top: evolution of the critical Reynolds number Rec (or equivalently the Rossby number Roc) as a function of stratification intensity (quantified by the Rayleigh number Ra). When Re > Rec (red upward triangles), nonaxisymmetric modes are maintained in time. Conversely, when Re < Rec (dark downward triangles), the kinetic energies of nonaxisymmetric modes exponentially decay with time. The insets highlight the pattern of unstable modes close to the threshold via color maps of the radial velocity in the equatorial plane. Simulations parameters: E = 10−5, Pr = 0.1. Bottom: critical Reynolds number Rec for the onset of hydrodynamic instability with increasing stratification, for various thermal and rotation parameters.
Current usage metrics show cumulative count of Article Views (full-text article views including HTML views, PDF and ePub downloads, according to the available data) and Abstracts Views on Vision4Press platform.
Data correspond to usage on the plateform after 2015. The current usage metrics is available 48-96 hours after online publication and is updated daily on week days.
Initial download of the metrics may take a while.