Fig. 5.

Download original image
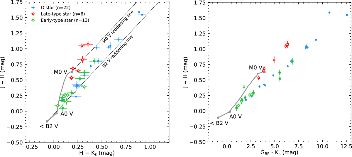
Colour–colour diagrams for the O stars (blue), late-type stars (red) and early-type runaways (green). Left: 2MASS colour–colour diagram. We indicate the main-sequence with the solid grey line and highlight the position of an M0, A0, and B2 or earlier main sequence star with a grey label and dot. Reddening lines for an M0 V and a B2 V star are plotted assuming RV = 3.1. Right: Gaia and 2MASS colour–colour diagram.
Current usage metrics show cumulative count of Article Views (full-text article views including HTML views, PDF and ePub downloads, according to the available data) and Abstracts Views on Vision4Press platform.
Data correspond to usage on the plateform after 2015. The current usage metrics is available 48-96 hours after online publication and is updated daily on week days.
Initial download of the metrics may take a while.