Open Access
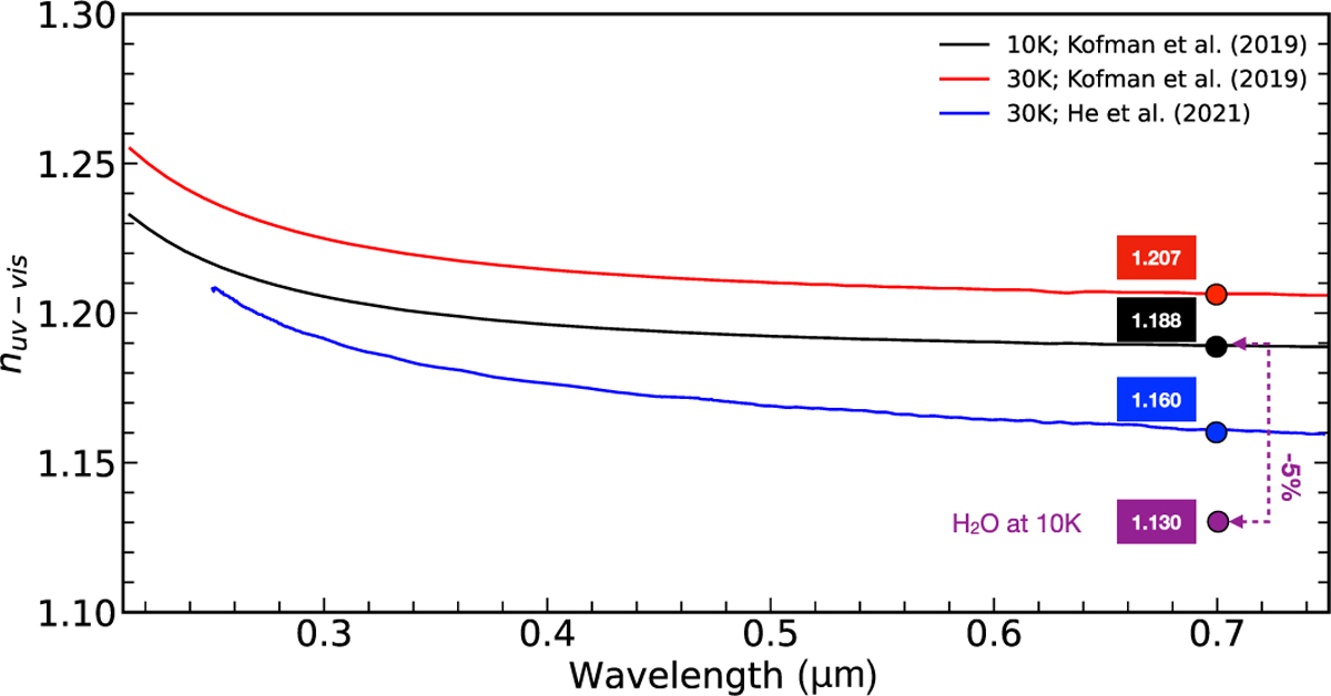
Fig. 1

Download original image
Comparison between nuv-vis values derived by Kofman et al. (2019) and He et al. (2022). The refractive index values at 0.7 µm are indicated in the figure. The purple circle and box show the nuv-vis from Kofman et al. (2019) at 10 K reduced by 5%.
Current usage metrics show cumulative count of Article Views (full-text article views including HTML views, PDF and ePub downloads, according to the available data) and Abstracts Views on Vision4Press platform.
Data correspond to usage on the plateform after 2015. The current usage metrics is available 48-96 hours after online publication and is updated daily on week days.
Initial download of the metrics may take a while.