Fig. 12.

Download original image
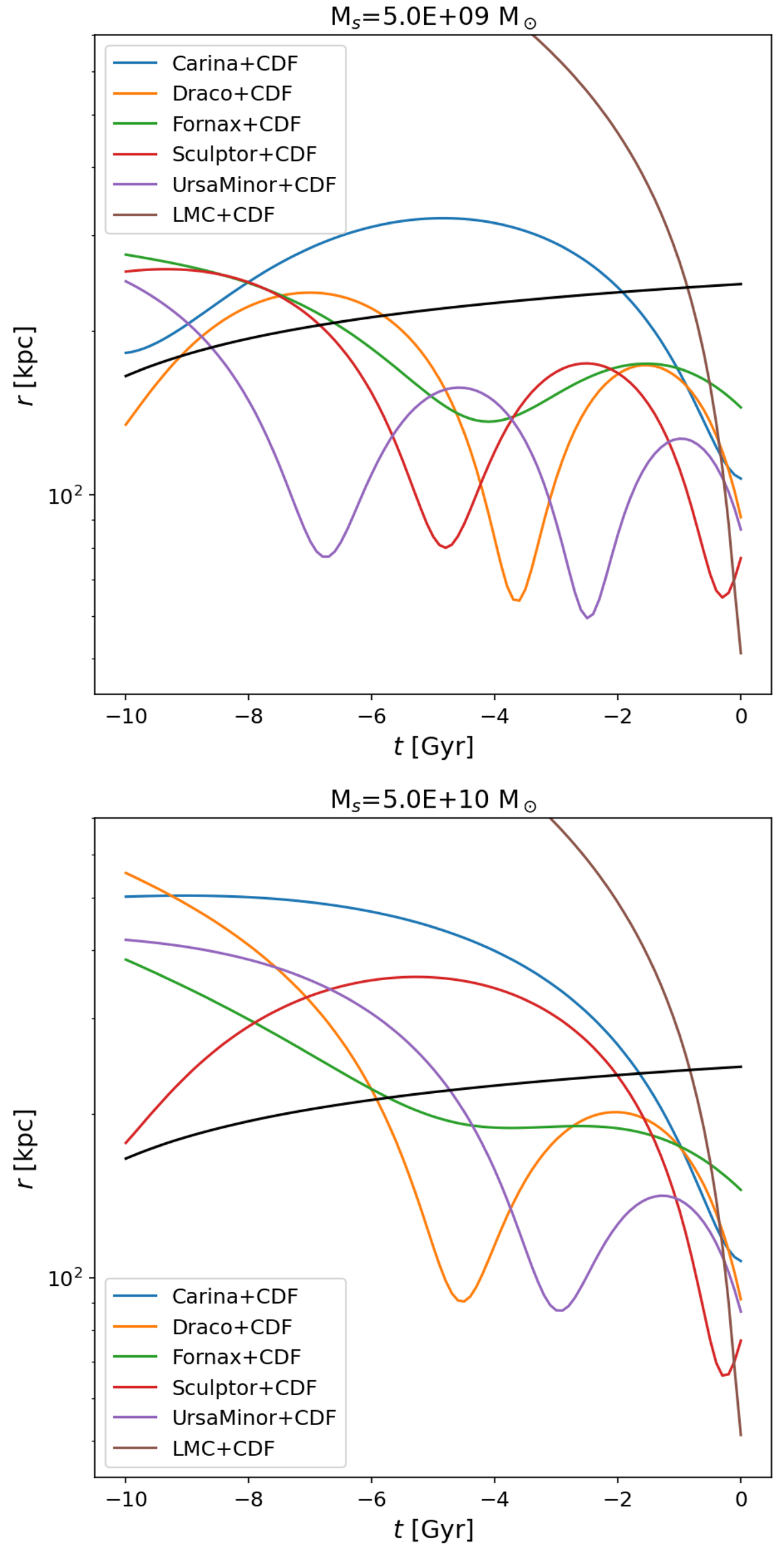
Orbital evolution of the bright dwarfs of the VPOS integrated backwards in time for 10 Gyr, assuming an evolving MW potential and taking into account the effects of dynamical friction, with the satellites assumed to have an individual total mass of MS = 5 × 109 M⊙ (top panel) or MS = 5 × 1010 M⊙ (bottom panel). The black solid line represents the evolution of the virial radius of the MW.
Current usage metrics show cumulative count of Article Views (full-text article views including HTML views, PDF and ePub downloads, according to the available data) and Abstracts Views on Vision4Press platform.
Data correspond to usage on the plateform after 2015. The current usage metrics is available 48-96 hours after online publication and is updated daily on week days.
Initial download of the metrics may take a while.