Fig. A.4.

Download original image
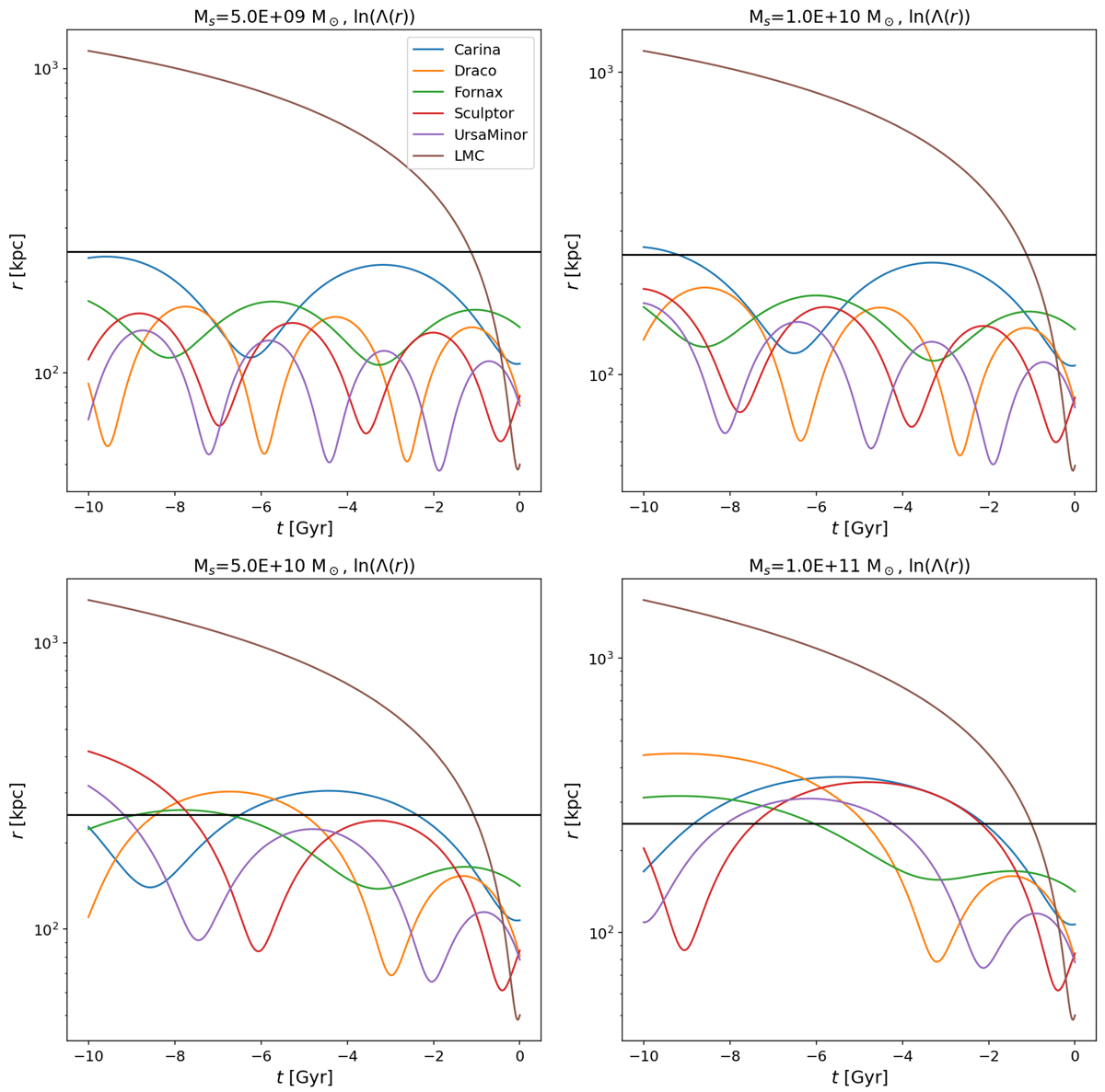
Orbital evolution of the bright dwarfs of the VPOS integrating backwards in time for 10 Gyr assuming the MWPotential2014 (Bovy 2015) and taking into account the effects of dynamical friction, assuming that the satellites have all a total mass of MS = 5 × 109 M⊙ (top left), MS = 1010 M⊙ (top right), MS = 5 × 1010 M⊙ (bottom left), and MS = 1011 M⊙ (bottom right); the black solid line in all panels represents the MW virial radius rvir = 245 kpc.
Current usage metrics show cumulative count of Article Views (full-text article views including HTML views, PDF and ePub downloads, according to the available data) and Abstracts Views on Vision4Press platform.
Data correspond to usage on the plateform after 2015. The current usage metrics is available 48-96 hours after online publication and is updated daily on week days.
Initial download of the metrics may take a while.