Fig. 1

Download original image
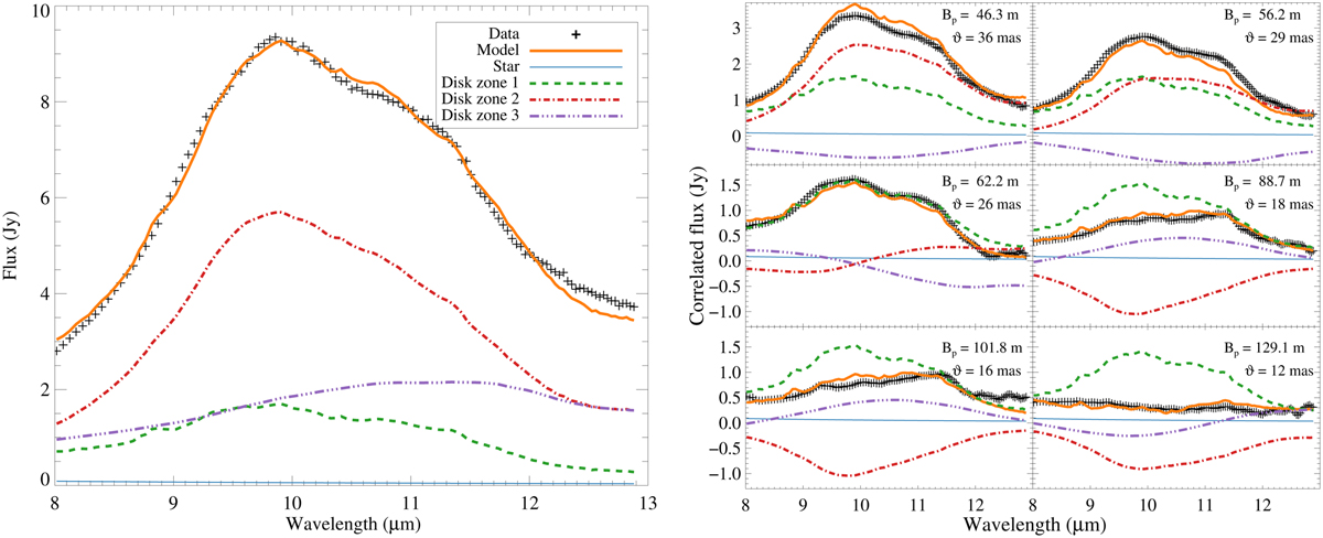
Dust compositional fits to the N-band MATISSE data. Left panel: fit to the single-dish spectrum. Right panel: fits to the six correlated spectra. The solid yellow curve is the total model spectrum, while the green, red, and purple lines show the contributions from the individual disk zones. The thin blue line is the model stellar spectrum.
Current usage metrics show cumulative count of Article Views (full-text article views including HTML views, PDF and ePub downloads, according to the available data) and Abstracts Views on Vision4Press platform.
Data correspond to usage on the plateform after 2015. The current usage metrics is available 48-96 hours after online publication and is updated daily on week days.
Initial download of the metrics may take a while.