Fig. 4

Download original image
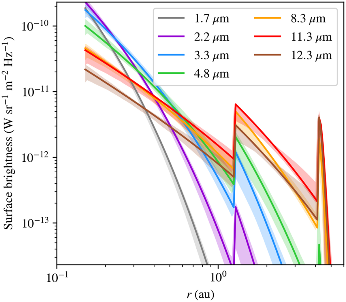
Radial surface brightness profiles of the disk corresponding to the best-fit model with iron grains. The shaded area around each curve is the 16–84 percentile range from the last 5000 samples of the chain.
Current usage metrics show cumulative count of Article Views (full-text article views including HTML views, PDF and ePub downloads, according to the available data) and Abstracts Views on Vision4Press platform.
Data correspond to usage on the plateform after 2015. The current usage metrics is available 48-96 hours after online publication and is updated daily on week days.
Initial download of the metrics may take a while.