Open Access
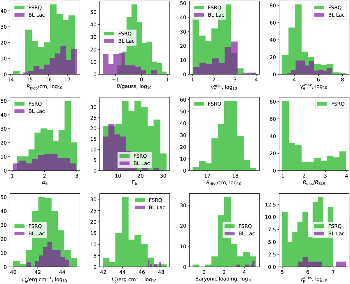
Fig. B.1

Download original image
Binned distribution of the best-fit parameter values for the entire sample. In green we show the results for the FSRQs in the sample and in purple the BL Lacs. The best-fit parameter values are also listed in Table B.1, as well as in the online repository https://github.com/xrod/lephad-blazars.
Current usage metrics show cumulative count of Article Views (full-text article views including HTML views, PDF and ePub downloads, according to the available data) and Abstracts Views on Vision4Press platform.
Data correspond to usage on the plateform after 2015. The current usage metrics is available 48-96 hours after online publication and is updated daily on week days.
Initial download of the metrics may take a while.