Fig. 5

Download original image
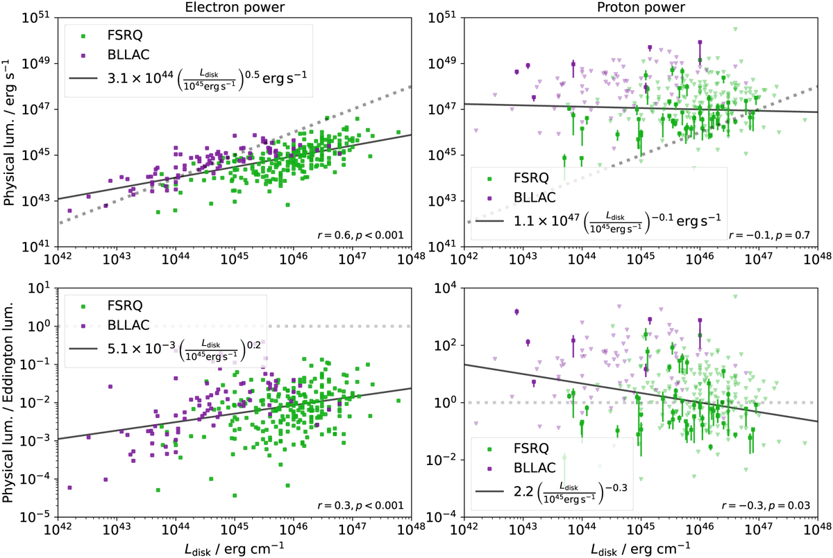
Best-fit values of the physical luminosity injected in electrons (left) and protons (right), as a function of each source’s disk luminosity. The physical luminosities in the rest frame of the black hole are given by In the upper plots the physical luminosity is given in erg s-1 and the dotted lines indicate Lphys=Ldisk ; in the lower panels it is given in units of the Eddington luminosity LEdd and the dotted lines indicate Lphys = LEdd . The best-fit power laws (excluding the upper limits) are shown as solid black lines. For protons, these relations are calculated using only the best-fit results that are incompatible with
. These are shown as solid points, while the inverted triangles represent results compatible with
within 1 σ. We also cite the result of the Pearson correlation coefficient r, applied to the logarithm of the corresponding variables, and its respective p value. As we can see, all variables present a statistically meaningful moderate power-law correlation with the disk luminosity, except the proton power in the upper right plot.
Current usage metrics show cumulative count of Article Views (full-text article views including HTML views, PDF and ePub downloads, according to the available data) and Abstracts Views on Vision4Press platform.
Data correspond to usage on the plateform after 2015. The current usage metrics is available 48-96 hours after online publication and is updated daily on week days.
Initial download of the metrics may take a while.