Fig. 9

Download original image
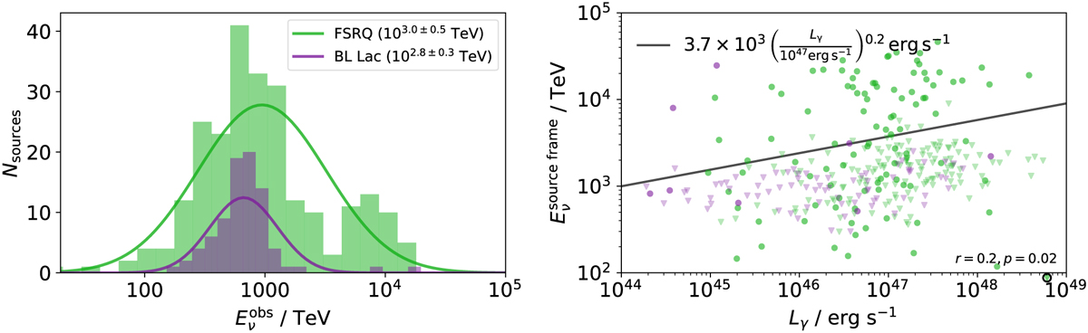
Characterization of the neutrino spectra predicted by the model. Left: distribution of the predicted peak neutrino energy, given in the observer’s frame. Right: distribution of the predicted neutrino energy in the observer’s frame as a function of the source’s gamma-ray luminosity Lγ. The best-fit power law is shown as a black line. This best-fit function includes only the results (shown as dots) and not the upper limits (shown as inverted triangles).
Current usage metrics show cumulative count of Article Views (full-text article views including HTML views, PDF and ePub downloads, according to the available data) and Abstracts Views on Vision4Press platform.
Data correspond to usage on the plateform after 2015. The current usage metrics is available 48-96 hours after online publication and is updated daily on week days.
Initial download of the metrics may take a while.