Open Access
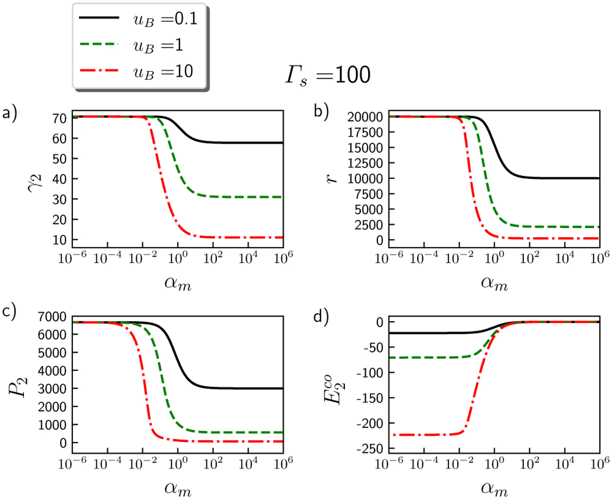
Fig. 2

Download original image
Shocked plasma quantities with respect to αm for a shock propagating with Γs = 100: (a) shocked plasma Lorentz factor γ2, (b) compression ratio r, (c) thermal pressure P2 in units of ϵ1, and (d) shocked medium comoving electric field in units of with respect to αm.
Current usage metrics show cumulative count of Article Views (full-text article views including HTML views, PDF and ePub downloads, according to the available data) and Abstracts Views on Vision4Press platform.
Data correspond to usage on the plateform after 2015. The current usage metrics is available 48-96 hours after online publication and is updated daily on week days.
Initial download of the metrics may take a while.