Open Access
Fig. 3

Download original image
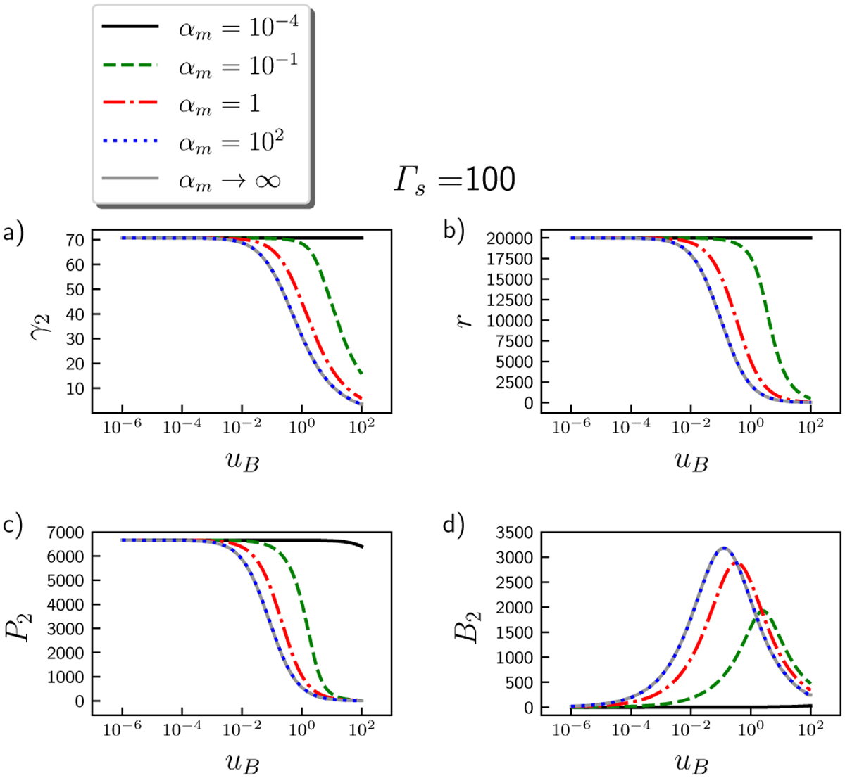
Shocked plasma quantities with respect to uB for a shock propagating with Γs = 100: (a) shocked plasma Lorentz factor γ2, (b) compression ratio r, (c) thermal pressure P2, and (d) magnetic field B2 with respect to the propagation medium’s magnetization uB, for various αm values.
Current usage metrics show cumulative count of Article Views (full-text article views including HTML views, PDF and ePub downloads, according to the available data) and Abstracts Views on Vision4Press platform.
Data correspond to usage on the plateform after 2015. The current usage metrics is available 48-96 hours after online publication and is updated daily on week days.
Initial download of the metrics may take a while.