Fig. 2.

Download original image
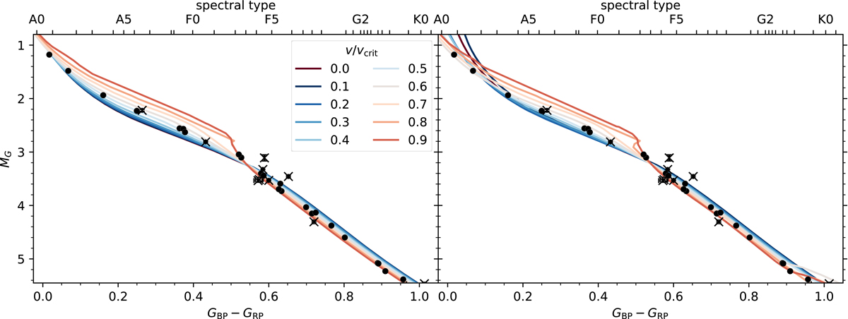
Comparison of best-fitting isochrones with different rotation rates in a colour-absolute magnitude diagram of the upper main sequence stars in UBC 1. Isochrones shown in the left panel use the median values of all samples of a given rotation rate for their parameters (age and extinction). In the right panel, we show isochrones based on the maximum likelihood parameters. Crosses indicate binaries and were omitted during the model evaluation. In both cases the v/vcrit = 0.5 model describes the data best. The parameters for all isochrones in this figure can be found in Table C.1.
Current usage metrics show cumulative count of Article Views (full-text article views including HTML views, PDF and ePub downloads, according to the available data) and Abstracts Views on Vision4Press platform.
Data correspond to usage on the plateform after 2015. The current usage metrics is available 48-96 hours after online publication and is updated daily on week days.
Initial download of the metrics may take a while.