Fig. 26

Download original image
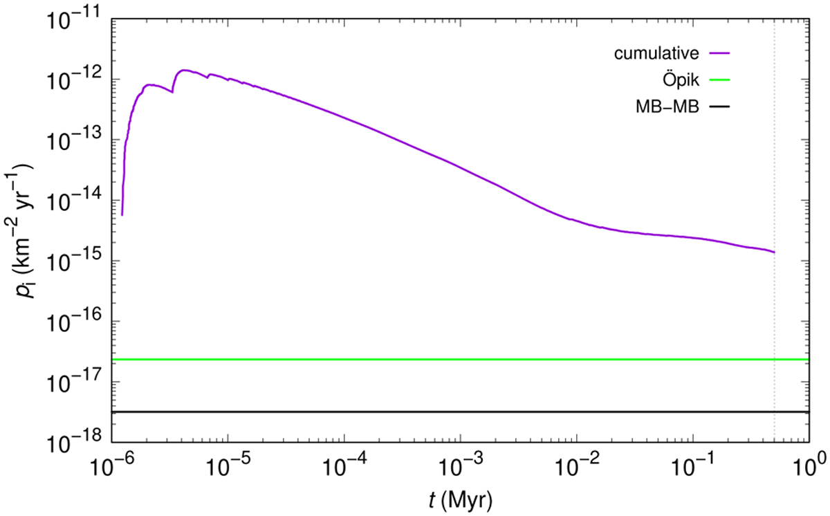
Intrinsic collisional probability of Datura members with respect to each other based on data from numerical integration of n = 57 asteroids of a synthetic family and using Eq. (3). Time since origin of the family at the abscissa also represents the ΔT timescale in the denominator of Eq. (3). The initially extremely compact configuration of Datura fragments results in very large
values during the first few revolutions about the Sun. This is followed by a decline reflecting asteroid dispersal which has two phases: (i) first along the elliptic orbit, completed in ≃(2–3) kyr (corresponding to change in slope of
power-law approximation), (ii) followed with a phase during which the secular angles (longitude of node and perihelion) drift from each other. This latter phase has not been completed yet for very young families (Fig. 1). For this reason the terminal
value is nearly two orders of magnitude larger than the formal collision probability computed with the Öpik-Wetherill approach (orange line), in which only the values of (a, e, I) would be taken into consideration and the secular angles (Ω,ω) considered uniformly distributed in the whole interval (0°,360°). The reference mean value of the intrinsic collisional probability for the main belt population, pi ≃ 3 × 10−18 km−2 yr−1, is shown by the gray horizontal line for reference.
Current usage metrics show cumulative count of Article Views (full-text article views including HTML views, PDF and ePub downloads, according to the available data) and Abstracts Views on Vision4Press platform.
Data correspond to usage on the plateform after 2015. The current usage metrics is available 48-96 hours after online publication and is updated daily on week days.
Initial download of the metrics may take a while.