Fig. 1.

Download original image
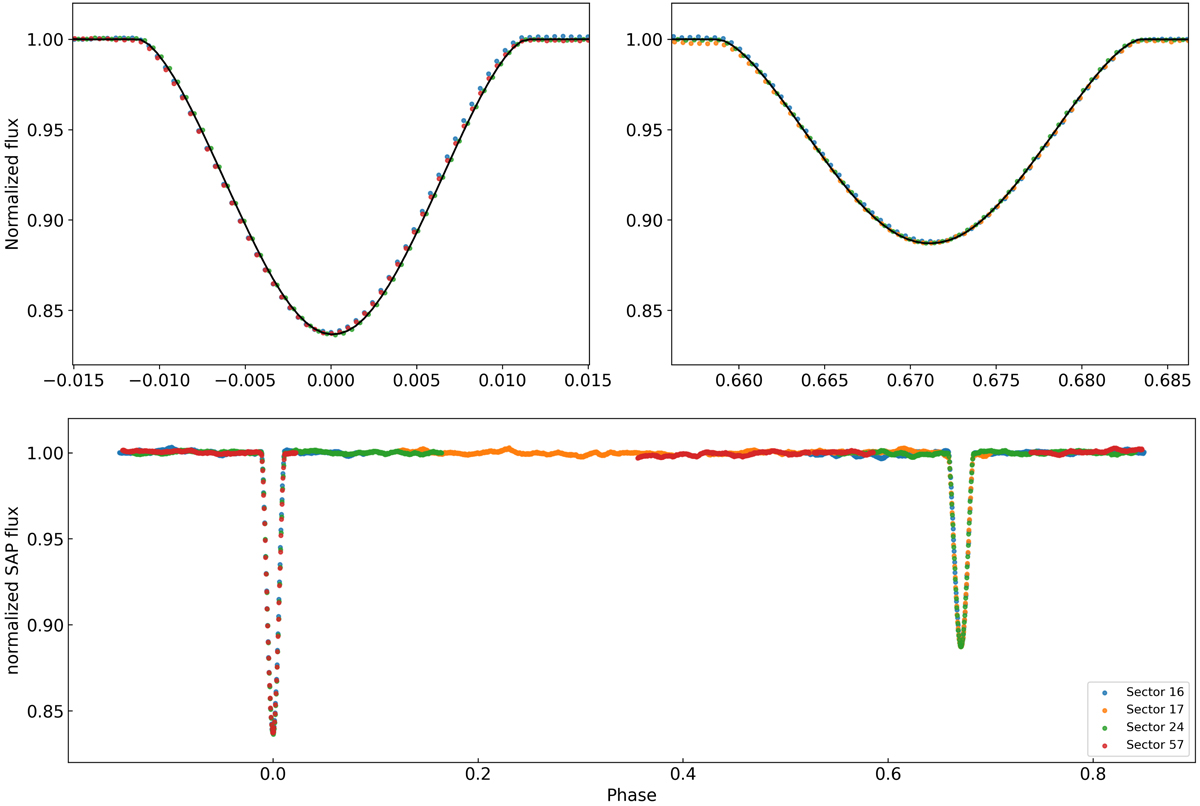
Normalized light curve folded with P = 43.1426 d and T0 = BTJD 1716.309. The 30-minute-interval measurements from four sectors are indicated by colored dots. Top panels: Primary minimum (left) and secondary minimum (right), with the result of the light curve fitting (see Sect. 3) illustrated by a black line. Bottom panel: Same as the top figures, but displaying a full orbital period.
Current usage metrics show cumulative count of Article Views (full-text article views including HTML views, PDF and ePub downloads, according to the available data) and Abstracts Views on Vision4Press platform.
Data correspond to usage on the plateform after 2015. The current usage metrics is available 48-96 hours after online publication and is updated daily on week days.
Initial download of the metrics may take a while.