Fig. 6

Download original image
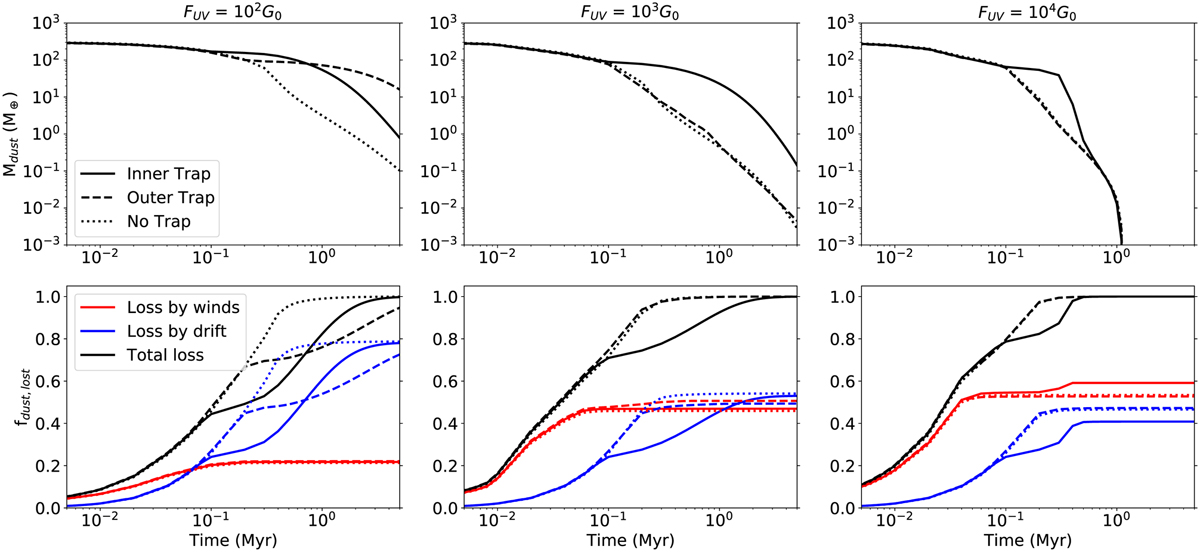
Evolution of the disk dust mass for different FUV fields and trap locations (1 /3rc, 2/3rc or none). Top: dust mass remaining in the disk. Bottom: fraction of dust mass lost. The lines distinguish between the total dust lost (black), the fraction lost by drift at into the star (blue), and lost by entrainment with the photoevaporative wind (red).
Current usage metrics show cumulative count of Article Views (full-text article views including HTML views, PDF and ePub downloads, according to the available data) and Abstracts Views on Vision4Press platform.
Data correspond to usage on the plateform after 2015. The current usage metrics is available 48-96 hours after online publication and is updated daily on week days.
Initial download of the metrics may take a while.