Fig. B.1.

Download original image
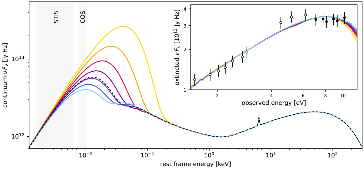
Extinction-dependent estimates of the Mrk 110 SED. Inset: UV and optical continuum points extracted from the HST COS (full symbols) and STIS (empty symbols) Galactic extinction-corrected spectra, fitted with the SED model discussed in Sect. 3.3.2. Each of the solid lines represents a model with different E(B − V) of extinction intrinsic to the host object, ranging from 0.01 (light blue) to 0.07 (yellow). Main panel: BLR-ionising radiation SEDs resulting from these fits, varying by the temperature and normalisation of the disc black body component. Energy bands covered by the COS and STIS data points are highlighted. The black dashed line represents the baseline SED with the disc black body temperature of kT = 10 eV and E(B − V) = 0.032 ± 0.001.
Current usage metrics show cumulative count of Article Views (full-text article views including HTML views, PDF and ePub downloads, according to the available data) and Abstracts Views on Vision4Press platform.
Data correspond to usage on the plateform after 2015. The current usage metrics is available 48-96 hours after online publication and is updated daily on week days.
Initial download of the metrics may take a while.