Open Access

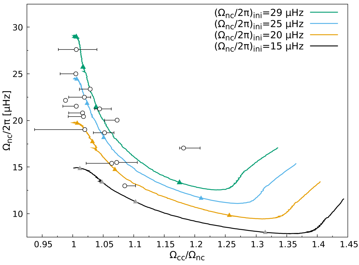
Fig. 7.

image

Download original image

Same as Fig. 5, but for models including internal magnetic fields following a modified and less efficient version of the Tayler–Spruit dynamo, computed with CT = 0.125 in Eqs. (1) and (2).

Current usage metrics show cumulative count of Article Views (full-text article views including HTML views, PDF and ePub downloads, according to the available data) and Abstracts Views on Vision4Press platform.

Data correspond to usage on the plateform after 2015. The current usage metrics is available 48-96 hours after online publication and is updated daily on week days.

Initial download of the metrics may take a while.