Fig. 6

Download original image
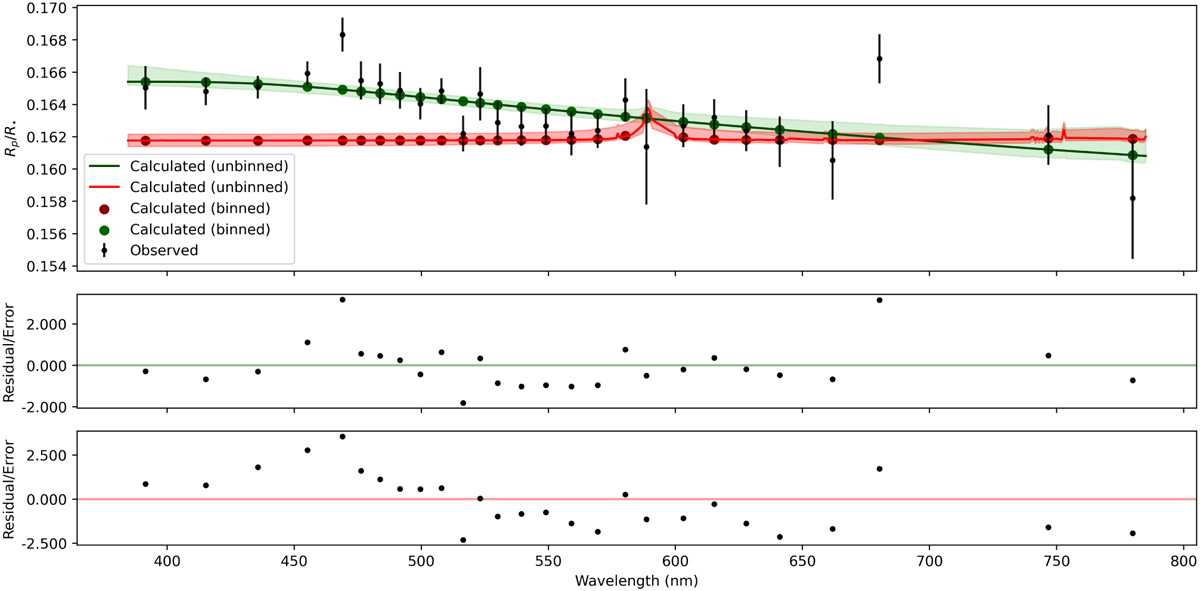
Fit of the transmission spectrum for HD 189733b. From top to bottom: transmission spectrum of HD 189733b modeled with PLATON with a flat model (red colors) and a model transmission spectrum with a variable Rayleigh-like slope. Residuals after subtraction of the best-fitting model to the flat model and the Rayleigh-like parameterizations.
Current usage metrics show cumulative count of Article Views (full-text article views including HTML views, PDF and ePub downloads, according to the available data) and Abstracts Views on Vision4Press platform.
Data correspond to usage on the plateform after 2015. The current usage metrics is available 48-96 hours after online publication and is updated daily on week days.
Initial download of the metrics may take a while.