Open Access
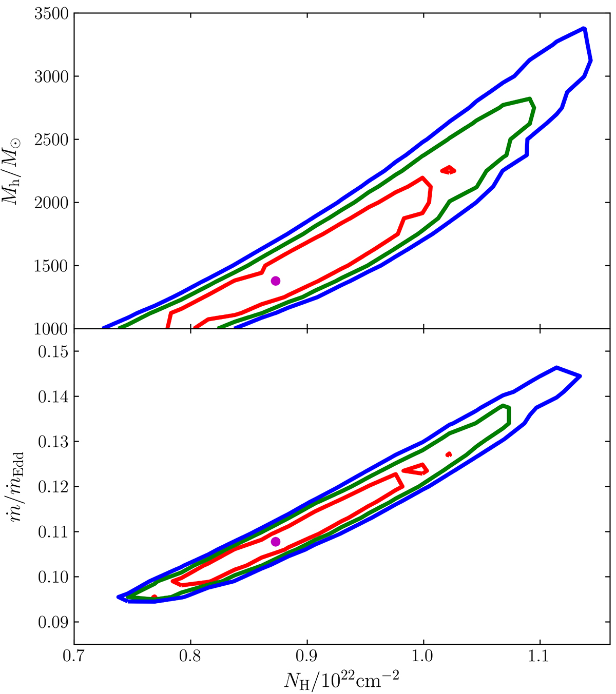
Fig. 5.

Download original image
Contour plots in the BH mass–intrinsic absorption (upper panel) and mass accretion rate–intrinsic absorption spaces (lower panel), obtained with the SLIMD model. The red, green, and blue contours indicate the ΔC = 1, 2, 3 levels, while the magenta dots are the best-fitting parameters.
Current usage metrics show cumulative count of Article Views (full-text article views including HTML views, PDF and ePub downloads, according to the available data) and Abstracts Views on Vision4Press platform.
Data correspond to usage on the plateform after 2015. The current usage metrics is available 48-96 hours after online publication and is updated daily on week days.
Initial download of the metrics may take a while.