Fig. 9.

Download original image
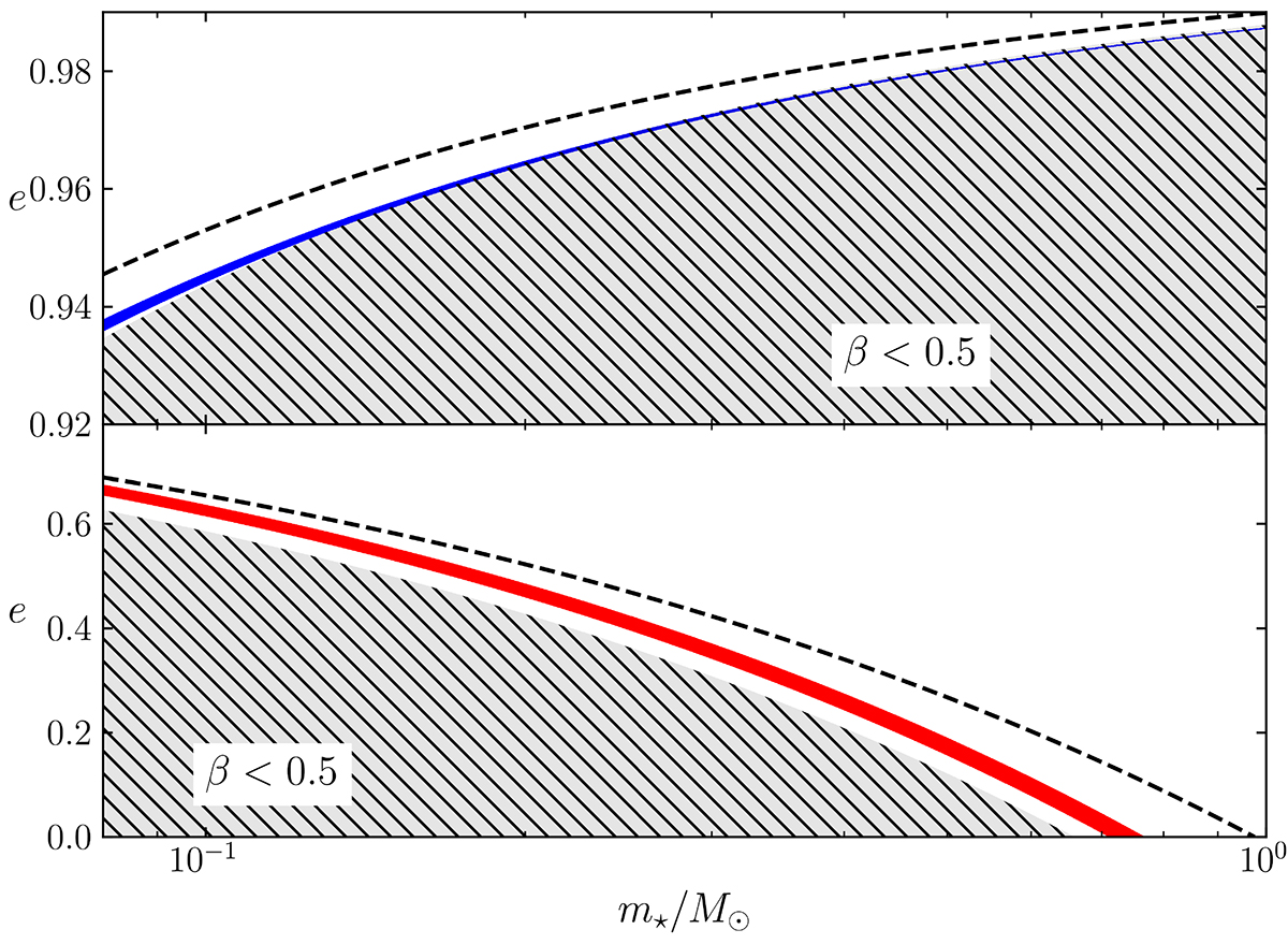
Orbital eccentricities and stellar mass values compatible with the BH mass and mass accretion rate obtained from the spectral fitting. The blue and red regions indicate WD and MS star cases, respectively. The width of the contours covers the 5σ regions. The barred portions of the parameter space are forbidden as they represent the regions where β < 0.5 (no disruption occurs) and the dashed lines indicate the values for which β = 0.6.
Current usage metrics show cumulative count of Article Views (full-text article views including HTML views, PDF and ePub downloads, according to the available data) and Abstracts Views on Vision4Press platform.
Data correspond to usage on the plateform after 2015. The current usage metrics is available 48-96 hours after online publication and is updated daily on week days.
Initial download of the metrics may take a while.