Open Access

Fig. 7.

image

Download original image

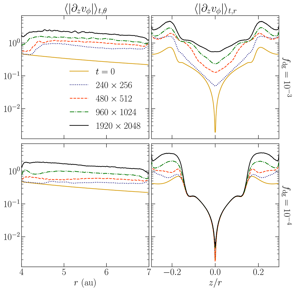
Same as Fig. 4, but showing instead constant-r and constant-θ averages of the averaged absolute value of the vertical shear between 150 and 300 orbits. The corresponding values at t = 0 are shown for comparison.

Current usage metrics show cumulative count of Article Views (full-text article views including HTML views, PDF and ePub downloads, according to the available data) and Abstracts Views on Vision4Press platform.

Data correspond to usage on the plateform after 2015. The current usage metrics is available 48-96 hours after online publication and is updated daily on week days.

Initial download of the metrics may take a while.