Open Access

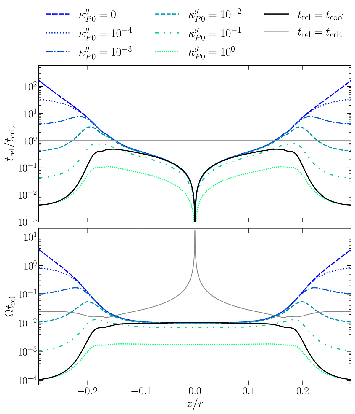
Fig. 13.

image

Download original image

Thermal relaxation times normalized by the critical cooling time tcrit (top) and the orbital frequency (bottom) at r = 5.5 au for fdg = 10−3, assuming only radiative cooling (trel = tcool), including the effect of dust collisions (), and including gas emission with defined in Eq. (13). Also shown are the corresponding values for trel = tcrit. The gas opacities reported in Freedman et al. (2008), Malygin et al. (2014, 2017) for solar abundances correspond to .

Current usage metrics show cumulative count of Article Views (full-text article views including HTML views, PDF and ePub downloads, according to the available data) and Abstracts Views on Vision4Press platform.

Data correspond to usage on the plateform after 2015. The current usage metrics is available 48-96 hours after online publication and is updated daily on week days.

Initial download of the metrics may take a while.