Fig. 11

Download original image
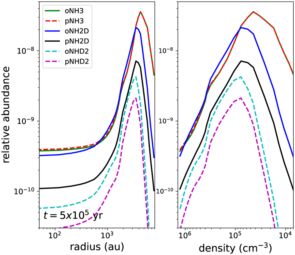
Fractional abundances of the ortho and para modifications of NH3, NH2D, and NHD2 as functions of radial distance from the centre (left) and density (right) in the one-dimensional cloud model used for chemical calculations. The chemistry model assumes constant CD with PH. The abundances are taken at the simulation time 5 × 105 yr.
Current usage metrics show cumulative count of Article Views (full-text article views including HTML views, PDF and ePub downloads, according to the available data) and Abstracts Views on Vision4Press platform.
Data correspond to usage on the plateform after 2015. The current usage metrics is available 48-96 hours after online publication and is updated daily on week days.
Initial download of the metrics may take a while.