Open Access
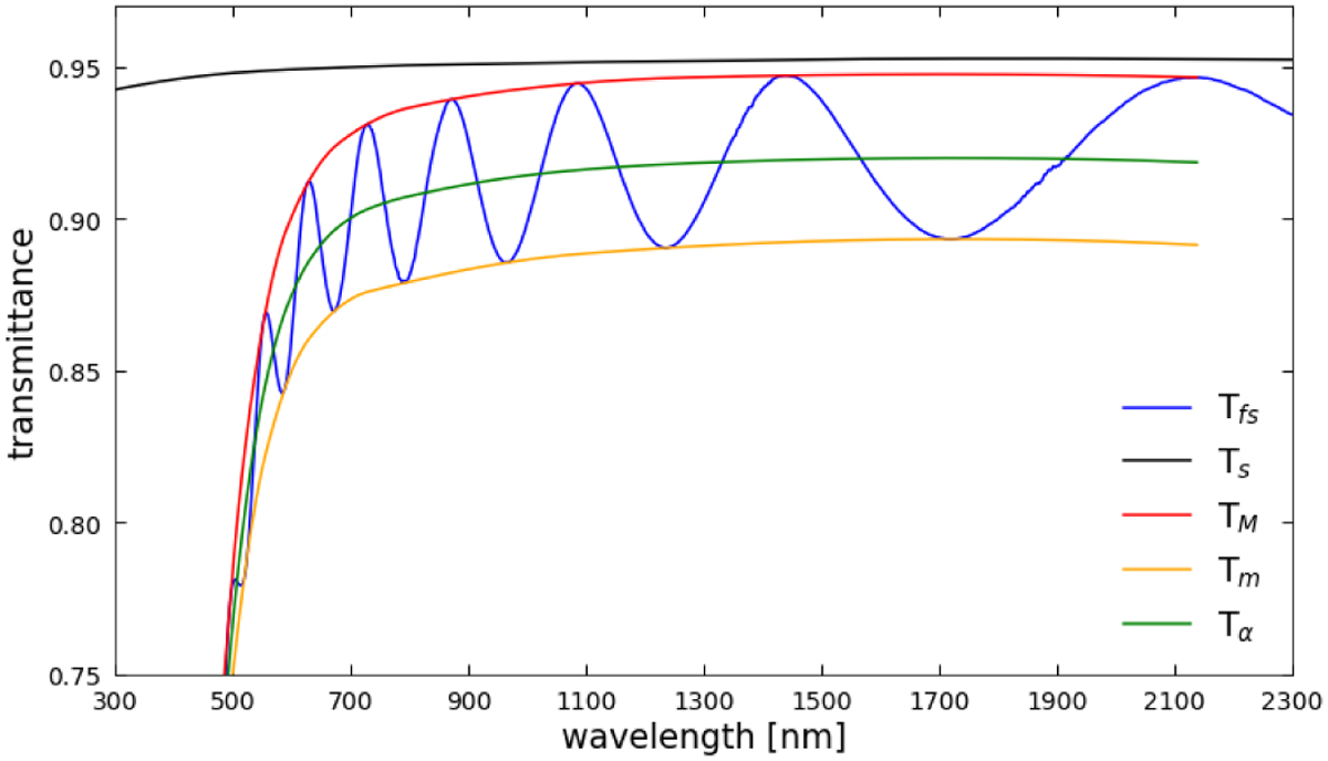
Fig. 2

Download original image
Measured transmittance of the reduced analog deposited on a MgF2 substrate (Tfs, blue curve). The transmission of the substrate alone is shown with the black curve. The transmission envelopes (TM and Tm) and the interference-free transmission (Tα) are constructed based on the Swanepoel method.
Current usage metrics show cumulative count of Article Views (full-text article views including HTML views, PDF and ePub downloads, according to the available data) and Abstracts Views on Vision4Press platform.
Data correspond to usage on the plateform after 2015. The current usage metrics is available 48-96 hours after online publication and is updated daily on week days.
Initial download of the metrics may take a while.