Fig. 12.

Download original image
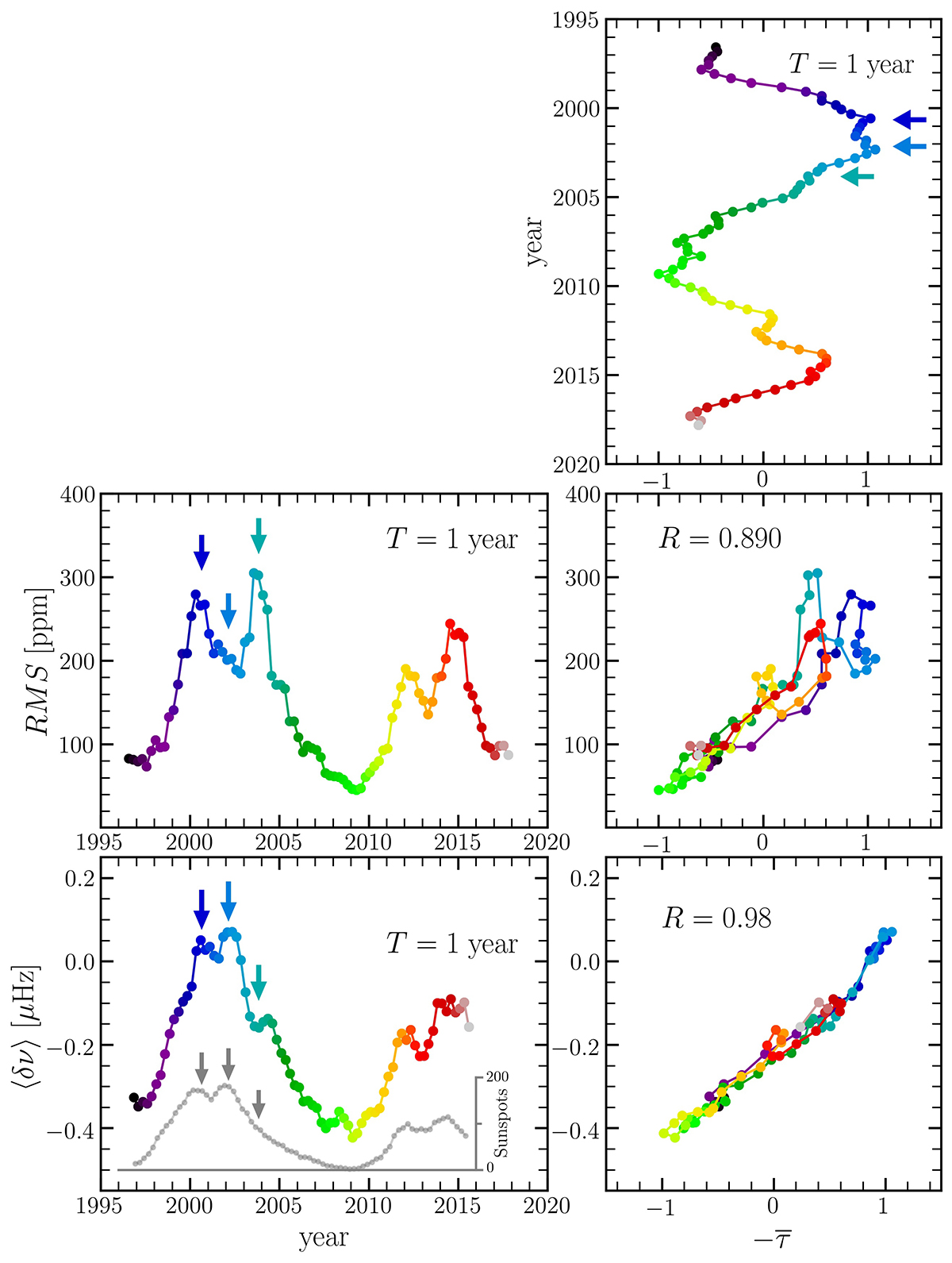
Comparison between photometric variability, p-mode frequency shifts, and seismic travel times. The data analyzed here were divided into overlapping segments of T = 365 days in length with a sampling time of 91.25 days. The three arrows correspond to July 2000, September 2001, and October 2003, as in Fig. 11. The bottom right panel shows the scatter plot between travel times and mode frequencies. The center-right panel shows the scatter plot between travel times and photometric variability. In the left bottom panel, the gray line shows smoothed sunspot number.
Current usage metrics show cumulative count of Article Views (full-text article views including HTML views, PDF and ePub downloads, according to the available data) and Abstracts Views on Vision4Press platform.
Data correspond to usage on the plateform after 2015. The current usage metrics is available 48-96 hours after online publication and is updated daily on week days.
Initial download of the metrics may take a while.