Fig. 1

Download original image
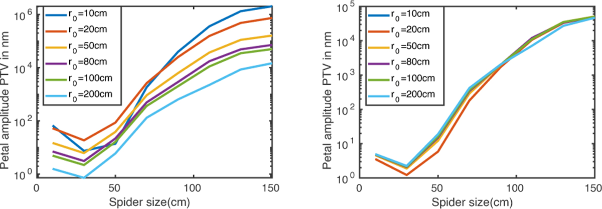
Petal mode with variable r0 and spider size. Left: Petal variation for large spiders and variable r0 in first-stage residuals. For spiders larger than the pitch of the ELT DM, the petal mode increases quickly. Right: Petal variation for large spiders and variable r0 in first-stage residuals corrected of the atmospheric turbulence amplitude.
Current usage metrics show cumulative count of Article Views (full-text article views including HTML views, PDF and ePub downloads, according to the available data) and Abstracts Views on Vision4Press platform.
Data correspond to usage on the plateform after 2015. The current usage metrics is available 48-96 hours after online publication and is updated daily on week days.
Initial download of the metrics may take a while.