Open Access
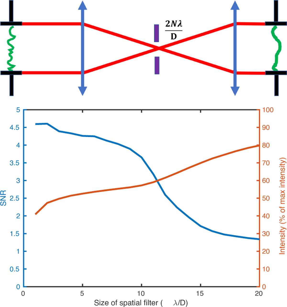
Fig. 9

Download original image
Petal mode to residual ratio for variable spatial filter size. Top: Optical path considered for the spatial filtering test. Bottom: Signal-to-noise ratio for the petal mode and the first path residuals compared to the intensity going through the spatial filter.
Current usage metrics show cumulative count of Article Views (full-text article views including HTML views, PDF and ePub downloads, according to the available data) and Abstracts Views on Vision4Press platform.
Data correspond to usage on the plateform after 2015. The current usage metrics is available 48-96 hours after online publication and is updated daily on week days.
Initial download of the metrics may take a while.