Open Access
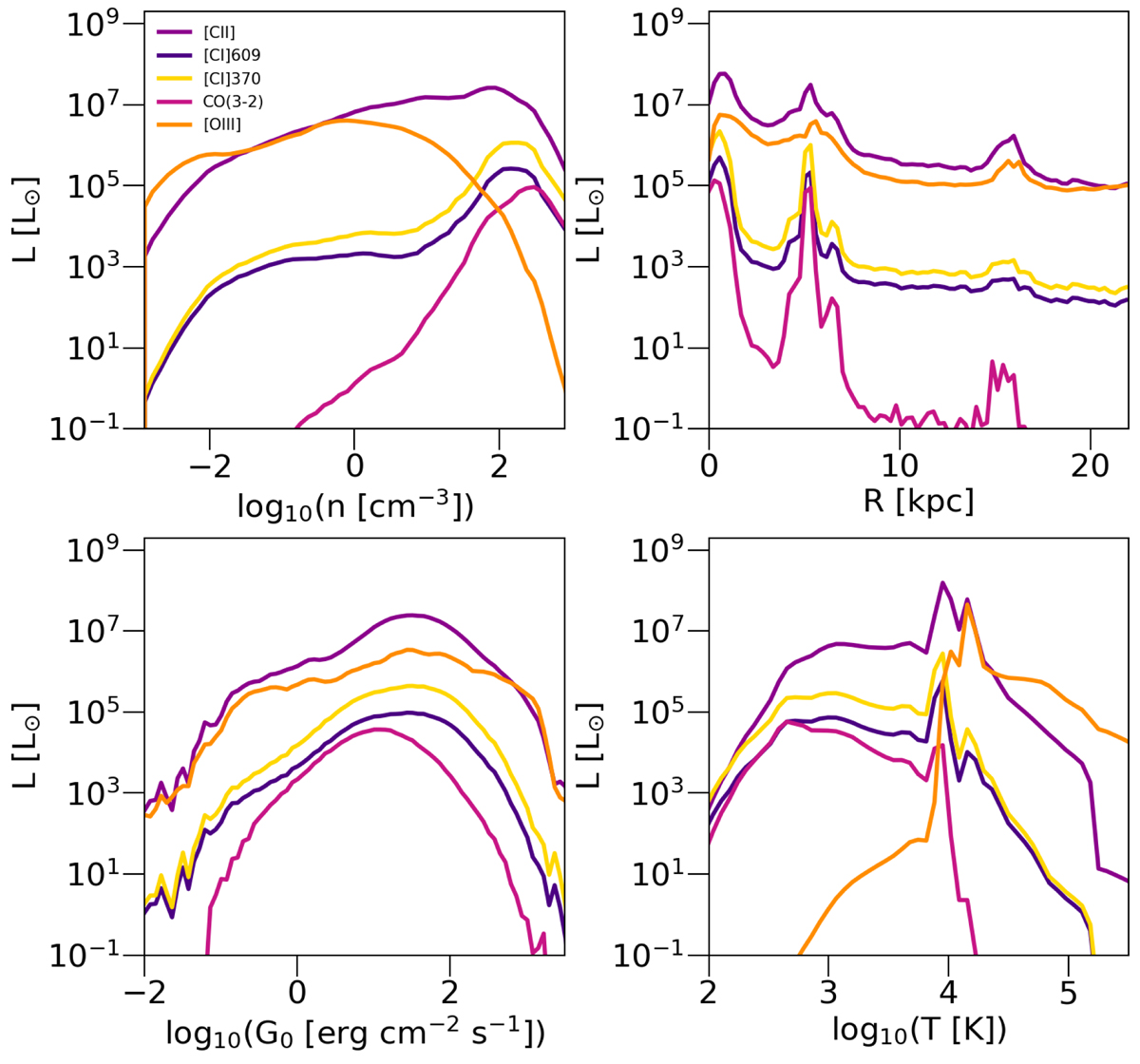
Fig. 9.

Download original image
[CII], [CI], CO, and [OIII] line luminosities of the RT model as a function of gas number density (nH, top-left panel), distance from the centre of the simulation box (top-right panel), radiation field (bottom-left panel), and gas temperature (bottom-right panel).
Current usage metrics show cumulative count of Article Views (full-text article views including HTML views, PDF and ePub downloads, according to the available data) and Abstracts Views on Vision4Press platform.
Data correspond to usage on the plateform after 2015. The current usage metrics is available 48-96 hours after online publication and is updated daily on week days.
Initial download of the metrics may take a while.